たまたま見聞録
見聞日記 天地無朋

2024.1.1(月)晴れ 楕円と2つの焦点

楕円の式

楕円定義を確かめる上で、12月15日の解はじっさいは不十分だということに気づいていた。楕円周上の特異な3点を楕円の式が通ることは証明できたが、すべての点で成り立つかどうかは見えていなかったからである。

解決を試みてずっと計算は続けていたものの、私の数学力では無理だった。なにしろ中学卒業程度の実力で、三平方の定理と円の方程式ぐらいしか武器がない。楕円周上の任意の点(x,y)から焦点に線分を引くと全然歯がたたなかった。

無理なことはあきらめよう、忘れようとしていたが、それもかなわなかった。年末の歌合戦を見ながらも頭の中ではああでもないこうでもないと楕円のことを考えている。寝床に入っても楕円のことを考えている。そして今朝、朝日に照らされた月とヒマラヤスギをぼんやり見ていてふと、15日に導き出した数式を利用して楕円周上にある任意の点(x,y)でも成り立つことを証明すればよいのだと思いついた。

海老一染之助・染太郎のいないさびしいテレビを見て家族とおせちを食べ初詣に赴き帰りにケーキを買っておやつにして、気もそぞろに紙と鉛筆をとりだして計算をはじめた。私にはかなり難しい展開になってしまったけれど、どうやらうまくいったみたいだ。


2024.1.3(水)くもり 越冬していたカナヘビ

カナヘビ

庭の隅に積んである竹筒束をめくるとカナヘビがいた。地面と竹筒の間にまるくうずくまっている。越冬体勢の冬眠中だ。

庭はカナヘビの生息地で何頭かが世代をつないでいる。庭で越冬しているのは確実だったもののその様子を見るのははじめてだ。下手をして動かすのはまずいと、急ぎ元のように竹筒を積んでおいた。

実は竹筒束はカナヘビあたりが越冬とか産卵の場所にするんじゃないかと期待して置いた物だ。女房が何かに利用していて、不要廃棄しようとした物を再利用した。夏場からの観察では虫たちに利用されている気配がなく、今朝には片付けようとしたのだった。ここをカナヘビが越冬場所に選んだのはうれしい。まさに狙い通りだ。

20年ほどはなるべく庭を放置するようにして来たが、少しずつ色気が出てきて手を入れるようになった。ヤマノイモ、ヤブガラシ、カラスウリなんかの巻き付く場所を作ったり、ムラサキカタバミ、ドクダミなどの雑草の保護を企てたり、アリの餌になるササガヤを増やす算段をしたり、園芸植物らしきものに水をやったりと、もはや管理の行き届いた普通の庭になった。

ただし植物とか造園はまったくの素人で、良かれと手を入れては失敗ばかりだ。カラスウリは花が咲いたのに実がならない。ムラサキカタバミは手を入れると必ず枯れる。たまにハサミムシが煉瓦の下で卵を守っていたり、キイロスズメがヤマノイモをばりばり食ったりしているのを見つけるととてもうれしい。狙い通りの運びっていうのも楽しいものだ。

カナヘビはいま庭の食物連鎖の頂点に君臨している。イエネコの出没が続いていたときは尾の切れた個体ばかりだったが去年はいなくなった。小虫を食うカナヘビがはびこると庭がさびしくなる恐れもある。去年はカマキリの産卵がなかったようだ。カナヘビ圧がどれほどカマキリにかかっているかはわからない。


2024.1.8(月)晴れ 隠れるレッドラムズホーン

レッドラムズホーン

左はレッドラムズホーン。サイズは1円玉弱ある。去年田んぼ水槽に1匹だけ投入した個体だ。こいつはすぐに水槽になじんで、産卵して、子が増え、大所帯になった。子らは無限増殖する勢いだ。親としてもほこらしかろう。

ひと月ほど前のこと、こいつの姿が見えなくなった。ガラス壁や水草を這って、ときには水面にいて、いつも何かを食べていて、おとなしいけれど存在感は抜群だった。それが見えなくなった。事件だと思った。まずは死んで転がっているんだろうと覗いてみたが見つからなかった。外に出た様子もない。わけがわからなかった。

娘のみたてでは底砂や水草の中に潜り込んでいるらしい。娘のアクアリウムでも消えた貝が復活するのはままあると言うのだ。

田んぼ水槽

レッドラムズホーンが行方不明になった田んぼ水槽を上から撮った写真だ。底は田んぼの泥。泥にはマツバイがびっしり生えて根を張りめぐらせている。それなりに大きな貝殻を背負った巻き貝が潜り込めるようなものではなさそうだ。それでも、数日にわたって姿を隠すことが幾度も起きている。やはり底に潜っているとしか考えられない。

底にはそれらしい痕跡は見つからないのだが、どうやって潜るのだろう。そもそも泥の中でなにをやろうとして潜るんだろう。


2024.1.16(火)晴れ 白濁について

レッドラムズホーン

去年の12月3日に白濁していた田んぼ水槽はいったん白濁がとれて水が澄んだ。そしてまたこの3日ばかり白濁が起きた。以前よりも透明度が落ちている。

その原因ははっきりしない。ただ今回の濁りは緑がかっている。どうやら水中に植物プランクトンがわいているらしい。となると原因は富栄養化が考えられる。そこは思い当たるふしがある。

10日ほど前のこと、田んぼ水槽にわいたレッドラムズホーンがかわいくて餌をやったのだ。3日ほど続けてテトラのフレークを入れた。総量は一つまみ程度だ。貝もエビもそれを機嫌良く食べていた。その餌が元で菌類が繁殖して植物プランクトンがわいた可能性がある。

餌を入れる前は、去年の白濁がうそのようにとれていた。ルーペで覗くと澄み切った水にケンミジンコが見つかった。

田んぼ水槽でミジンコは謎生物だ。普段はぜんぜん姿が見えないが、唐突にわいていくる。ケンミジンコはカイミジンコがわきだすと姿を消す。カイミジンコはどうしましょうってぐらいの大発生を見せるが、それもすぐにおさまって、いるかいないかぐらいの数に落ち着く。どういう条件でミジンコが泳ぎ出すのかはよくわからない。今回は白濁の効果でミジンコがわいたのかなと思った。

もし、餌を入れて富栄養化して菌類、藻類、ミジンコがわくのなら、それは忌み嫌うようなことでもない。

田んぼ水槽はインテリアなので澄んだ水がふさわしいけれど、いろいろな生き物がわさわさ動くのは楽しい。テトラのフレークの分量をうまく加減して賑やかな水槽になるのなら、それを試してみる価値はある。


2024.1.24(水)晴れ ロタラ

ロタラ

田んぼ水槽の白濁は相変わらずだ。最近気づいた傾向として日中に日が射すようになると濁りが濃くなる。やはり植物プランクトンなのだろうか。暗くなってから懐中電灯で照らしてルーペで覗くと、チンダル現象で細かい粒子が見える。珪藻らしきものもある。

今日の写真は調子が落ちてきた水田雑草ロタラ。和名でいうならキカシグサあたりだろうか。真夏にこの土をいただいた田んぼを覗けばきれいに茂るこの雑草を見ることができる。

わが家では2年間水草として生きてきたロタラであるが、本来は気中で生活したい草のはずだ。水底から芽吹いて、水中で生き続けることは本意ではない。長いことがんばってきたものの本懐遂げられず無念かもしれない。新しい茎が増えなくなり葉が枯れ落ちてきた。

底を芝生のように覆うマツバイも本来は気中で生きる草だ。田に水が引かれると一斉に芽吹き、水稲といっしょに成長し、水を落とされると花をつけ種を結ぶ。ロタラもマツバイも、とっても丈夫な雑草とはいえ水中暮らしに限界はあるんだろう。水草が途方にくれて弱っているのが田んぼ水槽白濁の一因かもしれない。


2024.1.29(月)晴れ カミキリムシの受難

水路

チネリで境川。定期観察している例の水路に行くと落木があった。細からぬ幹がぼきっと折れて落ちてきたようだ。この木は神社の敷地内にあるもので既知だ。もうすっかり枯れており倒れるのを待つばかりだった。

この水路に来れば、水面をのぞくのが習慣だ。アメンボやカワニナがいる。ドジョウなんかの魚類がひょっこり現れるかという期待もある。水路に横たわる枯れ木の下にはなにやら白い物が沈んでいた。一目でカミキリムシの幼虫だとわかった。頭でっかちの蛇腹筒はカミキリムシの特徴だ。すぐに3頭が見つかった。

カミキリムシ

この顛末は容易に推理できる。枝が落下したときに幼虫の住処が破壊されて投げ出されたのだろう。もしかしたら幹が割れたものだから、あわてて移動して落ちたのかもしれない。いずれにしても落木が原因だ。

そうなるとカミキリムシも無実とはいえない。彼らが食い進むことで幹の強度は落ちるのだ。倒れた幹には成虫の脱出口が見える。まだ立ち残っている幹をみれば、3つ4つと穴があった。水路に落ちたのは受難ではあったが、必然でもあったあろう。

自転車で山道を走っていると倒れた枯れ木が目につく昨今だ。楢枯れはまだ収束していない。私もこいつらと同じような目にあうかもしれない。


2024.1.31(水)晴れ バンドオブホールズか?

チネリでセントラル神奈川中流河川の旅。相模川の田んぼにでるといきなり白いチョウが飛んでいた。元気な飛び方ではない。低く数メートル飛んで田んぼに降りる。日が照って暖かいとはいえさすがに活動しにくいとみえる。遠目にモンキチョウらしかったが記録のため寄ってスマホで撮ることにした。やはりきれいなモンキチョウで羽化したばかりと見えた。

モンキチョウの越冬態は成虫ではないはずだ。羽化にはまだ早いと、念のため手元の原色蝶類検索図鑑をひくと関東では1〜2月は幼虫だと出ている。しかし、今日の個体は去年の生き残りっぽくない。たまたま見聞録の記録だと1月〜2月でモンキチョウの目撃は2件ばかりあった。

近年の温暖傾向は虫に変化を起こしている。この辺でも年中活動するモンキチョウが出てきたのかもしれない。

小鮎川

明日は2月となれば気になるのがバンドオブホールズだ。写真は小鮎川にかかる橋から撮ったもの。バンドオブホールズらしき穴ぼこがいくつか見える。観察ポイントは少し上流にもあるが、残念今日の小鮎川は濁りがひどくて河床が見えたのはここだけだった。

私がバンドオブホールズと名付けているのは、川にできる奇妙な穴のことだ。ゴルフボールのディンプルのように河床に点々と穴が並ぶ。まずは2022年の2月28日に小鮎川で見つけた。同様のものを荻野川でも見ている。以来、多少の注意を払って両河川を覗いているけれど、春から秋には見つかっていない。

穴が生物活動によるものとは考えにくく、人為的なものでないとすれば、その成因は地質的なものだろうと思う。ただどうにも仮説を立てることすらできない。ささいなれど気がかり。小鮎川の水が澄んだら今年の出来具合を観察だ。


2024.2.2(金)くもり やる気になる自転車

チネリ

写真のチネリはとってもいい自転車だ。30年ほど前のフレームで、パーツも当時の物を使っている。

今世紀になって自転車の進歩は著しく、私のような素人でも金を積むだけで途轍もない自転車を手にすることができる。新型は簡単に速く走ってスムーズに止まれるだろう。物の良さは天地の開きがある。

この45年あまりの自転車生活で、10本以上のロードフレームを試してきた。クロモリもアルミもカーボンも乗っている。それぞれのフレームはそれなりに良い悪いがあった。このチネリは飛び抜けた個性を持っている。初めて乗ったときに、そのしなかやさと加速がうれしかった。一方でその難しさに驚いた。

今その難しさが面白い。フレームが一枚の板のようにしっかりしていて、重心を揺らさずちゃんと乗ればまっすぐにぐんぐん進む。ただし踏み方が悪いとすぐに機嫌が悪くなる。ゆっくり走っていると、もっと気合いをいれろと叱られるような気がしてくる。腕を上げるにはもってこいの自転車だ。

私もいつしかベテランの域に達して自転車の乗り方がわかってきた。21世紀のロードはスムーズで速くてとってもいいんだけど、ときおりふとこいつに乗りたくなる。もうタイムがどうこうという気はうせ、フナに始まりフナに終わるっていう心境だ。相変わらずチネリに乗るたび「難しいな此奴」と思う。

このひと月ほど、踏み抜いて回す技術を身につけようと目論んでいる。じつは10年以上前に峠のタイムトライアルに熱を上げていたとき、踏み抜きが効果的という感触はあったのに、習得の難しさのあまり音を上げあきらめた。いまも集中してやればやれないことはないが、ときどきいい感じがある程度でしかない。

今日もチネリには「まだまだだねぇ」と言われてしまった。その気難しさが練習にもってこいだ。あと50万回ほどペダルを踏めば今日のギクシャクはとれるんじゃなかろうか。


2024.2.5(月)くもりのち雪 ツタバウンラン

ツタバウンラン

今日の写真は庭のツタバウンラン。帰化種でなんということもない雑草だが、私にとってはとっても大事な草だ。

ツタバウンランはこの辺では駅裏に群落がある。それは日当たりも栄養も悪そうな線路沿いのコンクリの割れ目に根付いている。20年ほど前に見つけてからずっと繁栄を続けている。たくましい草だ。

ここに住みはじめたとき庭にツタバウンランはなかった。隣の家には雑草として少しだけ生えていた。自分のも欲しくて、それを分けてもらった。隣の人は引っ越したけれど、かなりの園芸家で、ボケやテイカカズラなんかもいただいた。

残念なことに、ツタバウンランは庭で定着できなかった。2年ほどは根を張って花をつけてがんばっている感じだったが、次第に小さくなって消滅した。いまあるのは隣の庭から自力でコンクリ塀を乗り越えてやってきたものだ。もとあった株は隣家の建て替えで消えた。

D700

ツタバウンランが気になるのは、最初に撮影で苦労した花だからだ。今日の写真はこのカメラで撮った。15年ほど前に発売されたNikonのD700というすぐれものに愛称タムキューというタムロンの接写レンズをつけている。

D700は明るいところから暗いところまでよく写る。iso6400は実用範囲。タムキューのレンズフードにネジ止めしたLEDライトのおかげでストロボはまずいらない。今朝は雪前の重い曇天だったが、iso1800、s1/160、f16、で楽々だ。念のために一脚も使った。庭の動植物の接写はおおむねこれで行ける。

最初にツタバウンランを撮ったのは30年ほど前のことだ。家の前の道ばたに見慣れない花をみとめて、なにげに2、3枚撮ってみた。できあがった写真はぼんやりぶれて見られたものではなかった。カメラはニコンF4でレンズはタムキューだから基本的には今日のカメラと大差ない。

撮影には多少の知識もあったから、花の接写には特別な工夫も必要なんだろうと、書物で基礎を勉強した。世界中で花を撮っている仲良しのプロのアドバイスも受けた。「暗い緑の葉の中に咲いている1cmもない白い花を撮りたい」というと、それは難しいねえと笑われた。ストロボ使いの基礎を教わっていいストロボも買った。

フィルム時代の練習は気が遠くなるほどの時間と金がかかった。32枚撮りのフィルムが500円、その現像に500円。フィルムスキャナーがなくてプリントアウトが必要だった。富士フイルムの店にパトローネをあずけて仕上がりまでに丸1日かかった。練習になるようにと、ストロボの光量、露出の値を紙に書きとめて置いた。カメラを設定オートだとうまく撮れてもその原因がわからず練習にならない。

いまは隔世の感がある。いや実際に隔世だ。撮影練習なんてしほうだい。デジタルならモニターで確認して100枚でも200枚でもランニングコスト0円でアタリを取りながら撮れる。データは画像とともに記録されている。色温度(昔は色温度はフィルムで固定されていた)とか露出を多少しくじってもフォトショップで修正できる。

高価なデジタル一眼が世に出たとき友人のプロは露出を見るためにそれを買った。画質はフィルムじゃないと使い物にならないが、テストはデジタルということだった。照度計と経験よりも現場で写真を見れば安心できる。山を下りて現像したフィルムをルーペで覗いて血の気を失うことも減ったといってた。

デジタルカメラが出てきたときに、過去が写せたり手ぶれ補正ができるとか、カメラの進歩はだいたい予想できた。しかし、その進歩は思ったよりずっと速かった。飛ぶ鳥だの虫だのに追従するオートフォーカスはあるかもしれないと思ってはいたが、とんでもないことになっているらしい。カメラの深度合成は予想だにしなかった。

いまやツイッターなどでは驚愕の写真が目白押しだ。鳥や虫のプロはそのままプロ写真家だ。川をサイクリングしていると立派な機材を持ったカメラマンが群れている。被写体は?と尋ねるとだいたいカワセミだ。この1年この日本で何百億枚のカワセミが撮られたかと計算するとちょっと楽しい。フィルム時代はカワセミなんて大金持ちの道楽だった。


2024.2.7(水)晴れ 雪のクレーター

雪のクレーター

雪はまだ庭に融け残っている。その融け残ってじゅぐじゅぐになっている雪にクレーターがある。ちょうど月にある隕石の衝突痕のような感じで中央がへこんで回りが盛り上がっている。大小さまざまあって大きいものはみかんぐらい、小さいものは小指の先ぐらい。

おもしろい模様なのでその成因が気になった。クレーター状なんだから、何かが落下して来たんだろう。落ちてくるのは雪しかない。大小あるのは大きな塊と小さな塊の差だろう。そして落ちてきた先は上の木の枝からだろう。雪は気温が高く雨混じりだったせいか、今回の雪は積もるそばからじゅぐじゅぐだった。木の枝の形状で雪が溜まるところと溜まらないところはある。よく溜まっていたところから落ちた雪は大きなクレーターを作ったんだろう。

この程度の推理しかできず、この真偽に自信がない。地面に積もっている雪の状態と枝に架かっている雪の状態によっては、真ん中が盛り上がる形にだってなりそうだ。昨夜はどうだったんだろう? 雪のクレーター程度のことでも済んだことはわからないものだ。次回の積雪時はクレーターができる現場に立ち会おうと思った。


2024.2.8(木)晴れ 立派になった水中ギシギシ

ギシギシ

写真のギシギシは目久尻川を通る度に撮影している。こいつの成長は我が子のことのようにうれしい。葉はもう数十枚あり真冬にも元気に葉を増やしているようだ。その成長は昨日まで特殊なことだと思っていた。

50年ほど前に習った記憶では、ギシギシは冬になると赤い葉のロゼットになって、風があたらないように背を低くしできるだけ陽をあびて寒さに耐えているとあった。じっさい今の季節はギシギシやタンポポのロゼットがたくさんある。

ただ私の観察主戦場である目久尻川などでは大きな株が目立つ。姿が夏と変わらない。その原因は温度の高さにあるようだった。目久尻川は湧水が豊富で冬でも水温が高いだろう。そのおかげでギシギシはぬくぬく育つのだろうと予想していた。

しかし、反例はいくらでも見つかっている。その辺の草むら、水田の畦でも立派なギシギシはある。荻野川べりの水田脇では冬期に花をつけているものまである。常識も私の考察も根本的に間違っている。

思うにロゼットにならず冬でも元気なのは大株に多い。特に河原とか護岸の隙間に根付いているものが多い。となると元気の元は水ではないだろうか。普通の土地でも地中の水分が多い所まで深く根が達している株は低温に負けずに育つのではないだろうか。ロゼットは低温よりも乾燥対策だろう。そんな気がしてきた。

ギシギシ

ところで、この大株を見つけたのは去年の7月5日だった。そのときの撮影が左。今日の写真は2つとも芹沢川にかかる三又橋から撮っている。今この2枚目を見返してみて、この段階で水中ギシギシだと見破る眼力は只者ではないと思う。3センチぐらいの葉が2枚ばかりあるだけなのだ。周辺にはオオカワヂシャだのクサヨシだの、類似品がいっぱいある。

ギシギシ好きならあたりまえと思ってきたが、だれか他の人のしわざなら心から尊敬しひれ伏すだろう。


2024.2.9(金)晴れ グーグルフォト

カラス


相模川で自転車の練習をしていると、カラスがオニグルミを食べようとしていた。クルミをくわえて上空から落として割り中身を食べる。簡単に割れないから何度もトライすることになるはずだ。道路には3つばかり割れた殻が転がっている。

スマホでくるみ割りの撮影を試みた。人が近寄ればカラスは逃げる。少し離れて遠目のカットを撮っていると、そこに自転車が通りかかった。予想通りカラスはクルミをくわえて飛び立った。

運良くカラスはこちらの方に向かってきて目前を水平飛行してる。チャンスとばかり慌てて3回シャッターを押した。

帰宅してパソコンでチェックすると幸運にも2枚目の写真がうまく撮れていた。羽の広がりが力強いしクルミも見える。よしよしとたまたま見聞録に上げると、スマホの中に身に覚えのない写真があった。今日の横長写真がそれである。どうやらグーグルフォトが気を利かせて3枚を合成してパノラマにしたようだ。

写真はふつーに2羽のカラスが飛んでる風景写真に見える。驚いたことにどんだけチェックしても合成の破綻が見つからない。なんだか写真界はとんでもないことになっているようだ。スマホはピクセル4aという旧型のやつだ。テレビではフワちゃんがグーグルピクセル新型の実演コマーシャルをしている。まあそんま高級機能はいらんよな。フワちゃんが言うほどうまく処理できるはずもなし。などと眉につばをつけてきたが、そう斜めに見るものでもなさそうだ。SNSで高評価を得たい人には新しい技術が武器になるだろう。

ちなみに1枚目のカラスはビルの窓にかかって全く存在感がない。その点では失敗だが、背景の雲がいい味を出している。巻雲がすぱっと割れている。おそらく飛行機雲の一種だ。よく見る雲ではあるけれど、あれば撮っている。今日もこのあと撮影しておいた。このカラスのカットに写っていることは気づかなかったが、グーグルフォトがサルベージしてくれた。


2024.2.13(火)晴れ 春風の境川

遊水地

ウィリエールで境川。このところ下死点のペダルを「踏み抜く」練習にはまっている。下死点にあるペダルを太ももを下げる力で踏む込むとペダルの回転方向への力にくわえて反作用によって引き足がかかる。この力をうまく使うのが奥義だろうと思う。自転車はもうちょっとで頂点を極めることができそうだ。ただそこに到達するだけの時間があるだろうか。もうひっくり返せない砂時計の砂を見つめるような日々の練習だ。

今日の境川は強い南風が入っていた。気圧配置からこの風はまったく予想できなかった。ただし気温は高い。3頭ばかりのモンキチョウが飛んでいた。いずれも強風にあおられる感じで飛び立っても低く流れてすぐに草陰にかくれていた。白いやつには、もしやモンシロチョウ?という期待を抱いた。もうそういう季節だ。この風が吹くと春本番。西から低気圧が来たわけではないから春一番ではないにしても。

境川にある遊水地公園は春風に水面が波打っている。とっても立派な施設で管理が行き届いている。草や虫の生息状況も気にしているみたいだ。定期的に観察会なんかも行っている。

ただ謎なのが水に近寄らせてくれないことだ。写真の下のほうに写っている遊歩道的なものは公園全体に整備されているが、ずっと立ち入り禁止だ。20年以上も人の接近を拒んでいる。工事中というわけではないから謎は深まるばかり。人が歩けない歩道をなぜ作ったのだろう。


2024.2.15(木)晴れのちくもり一時雨 飛行機雲の影

飛行機雲

春一番が吹いて空には巻雲が多い。群青で目久尻川を走っていると飛行機雲が目についた。神奈川のこのあたりで飛行機雲は珍しくないが、巻雲に飛行機雲の影らしきものが見つかった。飛行機雲の影が見つかるなんて滅多にない。取り急ぎ撮影することにして空が見通せる所に移動した。

今日の写真がそれ。発見から3分ほどたっており、飛行機雲の影は消えかかっている。青矢印の先にうっすらとその影は残っている。太陽との位置関係から飛行機雲は巻雲よりも高いところにあると推理できた。

雲と雲の影の関係を読み取るのはとっても難しい。去年の8月21日に見つけた雲の影の正体はいまだにわからない。たまたま、いまヘビーローテーションしている「のもと物理愛」にもそれと同じような雲が出てきた。残念雲の解説ではないから解決のヒントにはならなかった。

なにか手がかりが得られないかと雲の影を注視する日々だ。空にUFOを見つけることがあれば、こういう訓練は役に立つだろう。


2024.2.22(木)雨 鉢植えのハコベ

ハコベ

夜から冷たい雨がしょうしょうと降っている。午後から庭にでてみればハコベが咲いていた。こういう天気の悪いときにも咲くのだ。ハコベは新年早々に花もつけていたから寒さには強い。

ハコベ

もう一つ花があった。こちらの花はおしべが赤紫色だ。花がひらいたばかりだからだ。花粉は赤紫のカプセルにはいっている。花が開くとすみやかにカプセルが反り返って花粉が出てくる。

私の庭ではハコベは多くない。じつはこのハコベは鉢植えにして特別扱いしているものだ。もともと野菜のプランターにかってに生えてきたものを移植した。庭での絶滅危惧種でもあるので増やそうと画策しているのだ。なにぶん素人なもので贔屓の引き倒しになりかねないが。


2024.2.26(月)晴れ 目久尻川の護岸工事

目久尻川

目久尻川の護岸工事が進んでいる。サイクリングロードのフェンスができているということは、護岸はこのままで完成か。そうであれば、この土がむき出しのところにはすぐにヨシやセイバンモロコシが繁茂するだろう。この工法がエコトーンに配慮したものかどうかは知らないが、雑草・虫を友とする私にはうれしいことだ。

目久尻川の中流はコンクリをべたっと貼っている場所が少ない。流域が狭く豪雨で雨水が入ってきても氾濫したり護岸を壊したりするおそれがないのかもしれない。

私が遊んでいる神奈川の中流域は草や魚にやさしい工法を取っている。おそらくは昭和にはどの河川も壊滅していたはずで、そうした反省が生かされているのだと思う。

横浜のいたち川は鳴り物入りで整備された。草や魚にやさしいだけじゃなく、見栄え重視なんだろう。小川なのに大きな鯉も泳いでいる。札幌に住んでいたとき、近所の真駒内川も自然河川っぽく改修工事されていた。ものすごく工期がかかり、そこまでやるんかとあきれるほどの手の入れようだった。

私は手間をかけず魚が住める川を造ってほしい。見栄えのしない雑然とした風景でも、防災かつ生物の多様性が守られる河川がいい。


2024.2.28(水)晴れ 見えなかった虫

アザミウマ

春はどんどん進んで私の殺風景な庭でも虫がうごめくようになってきた。主にダニなんかだ。ただし、ほぼ全ての虫が見つからない。草の写真を撮ってあとから虫に気づくという体たらくだ。後から気づくぐらいだから虫にピントは合っていない。ちゃんと撮れていれば何か気づけることもあるかもしれないと残念だ。

写真をモニターで見てすぐに虫に気づけるということは、ファインダーで見ているときにも気づけるはずだ。マクロレンズのファインダーはそのまま虫眼鏡なんだから。

という反省をいかして今日のホトケノザはしっかり撮れた。私の衰えた目もファインダー内に虫がいるのを見逃さなかった。左の花にいるのがそれだ。おそらくアザミウマだろうと、その虫にピントを合わせて撮った。

そこまでは良かったのだが、この写真をモニターでチェックすると右の花の奥にイモムシがいるのがわかった。ホトケノザを食べる蛾かハバチかなにかだろうか。ちょっとがっかり。


2024.3.5(火)くもりのち雨 自在アーム

アザミウマ

春を迎えて庭の草が芽吹いたり花をつけたりしている。このカメラはそうしたシーンを記録するものだ。本体のNikonD300sに改造レンズをつけてスーパーマクロと名付けている。絞り込んで速いシャッターを切りたいから照明は100%ストロボだより。ストロボはSB-29という発光部が2つあるレンズ装着式のもの。フィルムカメラのときから愛用してきた。

改造レンズには発光部が付かないからクリップが活躍する。今回新導入の機材はクリップ付きの自在アームだ。中国製でUTEBETと書いてある。これはレバー操作だけでネジをゆるめてアームがぐにゅぐにゅ動かせるすぐれものだ。去年までは同機能の自作品を使ってきたが、可動範囲が広がり操作性が向上した。

最近こうしたものは中国メーカーが攻めた物を出してきている。日本製の汎用カメラ小物は前世紀からあった。しかし、設計が画期的とは言い難く、低質なわりに高価で、気軽に試せるものではなかった。このアームのような製品は確実にセットすることなど期待できなかったのである。

こいつもゆるみはあるけれど実用内で安価だ。なによりもアームにクリップをつけてくれたアイデアに感激した。

ひとつ問題はある。そもそも庭のスナップにスーパーマクロが必要かということだ。

新芽

この写真は今朝撮ったヤブガラシとおぼしき草の芽吹き。左はオリンパスのコンデジTG-5で撮った。ストロボなしのおまかせマクロでピントも気にせずパシャリ。右はスーパーマクロ。露出からピント、ストロボの角度まで全部マニュアル。撮影時は地面に伏せなければならない。雨の日は服が泥だらけ、濡れた機材が故障するんじゃないかと躊躇もする。

こうしてできあがった写真を比べてみれば、スーパーマクロのほうがちょっと質感はいいかな、ぐらいの差しかない。動き回る虫には機動力があるTG-5のほうが頼れる。

唯一の例外がクロナガアリだ。TG-5ではクロナガアリが撮れない。そしてファインダーを覗いてフルマニュアルで撮ることの楽しみも捨てがたい。庭にクロナガアリがいるうちはスーパーマクロの試行錯誤が続くだろう。


2024.3.7(木)くもり 入門ロード

ウィリエール

河原のヤナギが咲いて境川はすっかり春本番。写真のウィリエールでペダリング練習。ウィリエールは入門ロードはかくあるべしと組み立てているものだ。扱い易くてちゃんと走れる。丈夫で安価。入門用なら10万円で買える自転車がふさわしいだろう。フレームはアルミニウムでコンポーネントはシマノのSORAを想定している。

世の中にはいまだに凡人のためのロードがない。ロードという以上はひよらずに選手と同じ効率的なポジションがとれるフレームにすべきだ。その一方で、競技用のフロントギアは集団走行やスプリントを想定しているので初級者には大きすぎる。フロントが50ー34Tなんてオーバースペックもいいとこだ。

登りでは初心者なら等倍程度のギア比が欲しい、という次第でリアスプロケットが、11ー34Tなんて化け物みたいなのが入門用と称して売られている。そこが最大の不満だ。フロントアウターは42〜44T、インナーは26〜30Tあたりで譲れないところだから、シマノさんにはクランクとフロントディレーラーの再設計をお願いしたい。

私のウィリエールは素人が楽しく走れるように創意工夫している。ただし、サドルのアリオネは初心者には向かないかもしれない。上のカーブがほとんどなくて尻の座りが悪い。初級者にはそれがふらつきになったり、前足に体重がかけられないとピンポイントで座る硬さに耐えられないかもしれない。私は状況によって前に座ったり後ろに座ったりしたいのでアリオネはフィットしている。

ところで、私は一番前にあるペダルを、膝を曲げながら踏み込んでいる。これは間違っている。3時から6時まで膝はどうしたって伸びる。曲げられるわけがないのだ。いつからこんな間違ったイメージを持ったのかは謎だった。それが、昨日「ベルナールイノーのロードレース1989」を再読してて、これだ!っと息を飲んだ。109ページにこんな解説がある。

ペダルは3時を過ぎると後ろに引き上げなければならない。効率を最もよくするには4時からそうすべきだ。4時のときの力は、下と後ろに働く力の合力となり斜めの向きになる。

30数年前、初見で目を疑ったのは言うまでもない。翻訳ミスも疑った。「3時、4時でペダルを後ろに引き上げる」なんてことができるわけがないからだ。しかし、ツール5勝のイノーがこんなあからさまな間違いを犯すからには、そこに奥義があると思った。自転車では論理がじゃまな場合がけっこうある。

試しにペダルが一番前にあるときに、後ろに引き上げる気分になって、膝を曲げて(実際は伸びている)みれば、すばらしく具合がいいことに気づいた。1年も練習すれば力のかけ方もわかるようになり、動作が板についてきた。ペダルを踏むときに腿前筋肉への負荷がない。膝にダメージが来ず、すねの痛みがなくなった。ペダルが下死点をスムーズに通過して引き足が効く。そしていつしか「ありがとうイノー」という感謝を忘れた。

膝を伸ばしてペダルを前に運び、3時には速やかに切り替えて、膝を(気持ち的に)曲げ、太ももを下げ下死点を踏み抜く。この感触は全てのロード初心者に試して欲しいと思う。境川ではこの一番大事なテクに気づいてないロード乗りがいっぱいいる。


2024.3.8(金)雪のち晴れ一時雷雨 水中スイバ

水中スイバ

境川でついに水中スイバ(ギシギシ)を見つけた。写真中央に写っている草がそれ。2株ある。境川で確実と思えるのは初だ。思い起こせば、境川では10年以上も水中スイバを探索していることになる。本命は遊水地公園の湧水だった。

場所は左岸にある畑の細い用水路。利用されることもなさそうな小さな橋の直下にあたる。発見が少し遅れてすでに葉は水上に出ているが、実生であることは間違いないと思う。スイバ(ギシギシ)の芽吹きの季節は水中ではいつなんだろう。地上では春だと思っている。

この水路はちょっとしたものだ。境川左岸にある小高い崖からの湧水を水源として数百メートルにわたって本流と平行して流れる。途中水田に利用されることはなく、ただの排水路になっているらしい。

水質は悪くないようで、水草系はセリやクレソンがある。動物ではアメンボ、カワニナがいる。アメリカザリガニもいるようだが、多くはなさそうだ。ドジョウがいるかもしれないと注意しているけれども、まだ見つかってない。境川本流とのつながりは悪く、魚類は登ってこられないのかもしれない。


2024.3.12(火)雨 Sudoku

土日はバイトで渋谷に通っている。田園都市線だ。電車内ではうつむいてスマホを見るのがマナーといっていい。この1年ばかりはSudoku.comの無料アプリSudokuをやっている。機内モードで楽しめるのでうってつけだ。

Sudokuにはレベルがいくつかあって今は「むずかしい」レベルでやってる。設定は3回お手つきで負け、まちがったら赤字になって教えてくれる。統計を見るともう2000回ほどやっている。ずいぶんやったものだ。勝率は83%。タイムは12分ほどなんで、渋谷までの間に4つほど解いているのだろうか。

数独は20年ほど前になるか、紙の頃にちょっとやったことがあった。書籍バージョンだとけっこう難しくて、「むずかしい」程度のレベルだと1時間以上かかっていたと思う。終盤まで間違っていることに気づかないと大惨事だった。スマホ版の、まちがいはすぐ教えてくれるモードだと圧倒的に時短になる。二子玉を過ぎてから新しいゲームを始めるかどうかはその日の調子による。こんなものでも終点までに解けないとくやしい。かといって電車外では見たくもないゲームだ。

はじめた頃はエキスパートレベルで、何度間違えても負けない設定でやってた。早解きだ。1500個ほど解いて、平均タイムは2分10秒、ベストタイムは1分7秒。1分を切ることを目標にしてたけど、途中でばかばかしくなった。レベルが玉石混淆だからだ。エキスパートレベルでも初級的なものがあり、むずかしいレベルでもちゃんと考えないと解けないものがある。どうやらコンピュータが問題を適当に作っているようだ。書籍版のように問題の人力精査はやってない模様。問題にIDもふられてない。しょせんは暇つぶしの無料ゲーム。

それに、早解きでせわしくタップするのははた迷惑であろう。スピードよりも思考持久力を試すほうがSudokuには合っている。かといってエキスパートレベルでお手つき3回アウトだと勝率は50%ぐらいに下がる。こんなものでも負けると悔しいので、よっぽどのミスがない限り負けない「むずかしい」レベルにした。さくさく解けてもそれはたまたま易しかったから、八方塞がりになっても、それはたまたま難しかったからと、いまでは達観している。シンプルチェーンとかの強力だけど面倒な技は使わない。


2024.3.15(火)晴れ 早春の半原越

半原越

早春の半原越に群青で出かける。写真のようにまだまだ春は浅く木々の芽吹きもあと一歩のところだ。木の芽吹きに先立って咲く花々もある。木の花ではフサザクラにハンノキ。草本ではタチツボスミレがある。毎年たんまり花をつけるヤブツバキは今年も健在だった。

虫の活動はまだ少ない。ルリタテハだけは一回登る間に5頭見つかった。道路で日なたぼっこをしているようだ。春羽化組はルリシジミがいたかもしれない。視界に0.5秒ほどはいっただけでぜんぜん自信はないが、サイズときらめく青色はルリシジミらしかった。

自転車なんでタイムも気になる。12時10分頃にスタートして12時42分頃にゴールなので32分ほどかかっている。いまはもうこんなもんかなと思う。出力ができず息があがらない。速く走れない分、楽になった。20分ぐらいで走っているときは毎回しんどかった。もうここで二度とあんな苦しい思いをすることもないだろうなと思う。ほっとするような幾分さびしいような。


2024.3.18(月)晴れ スイバは誤認

ミゾソバ

強風の中、ウィリエールで自転車練習。先日、左足が下手くそでしかもさぼっていることを再認識したから特訓だ。

8日に見つけた水中スイバはどうしているかといつもの用水を訪ねてみた。小さな橋の下を覗いて、まずは行方不明かと思った。記憶の場所には写真の草しかなかったからだ。これはまったくスイバじゃない。スイバはどこだ?と探すものの、どうしてもこいつがあれとしか思えない。

どうやら少し成長して、この草本来の姿になってきたようだ。葉の形から察するにミゾソバあたりだろうか。

思い起こせば、目久尻川の水中ギシギシは芽吹きが真逆の季節、夏だった。私が見つけているのは全部水中ギシギシ。水中実生らしきスイバは見つかっていない。そのあたりがひっかかりとしてはあった。いくぶんがっかり。

ただこれも何かの縁、このミゾソバ?の成長を楽しみたい。


2024.3.19(火)くもりのち晴れ タンジェントアーク

タンジェントアーク

今日もウィリエールで左足の練習。昼頃からだんだん雲が薄くなる天気だった。低気圧の接近による高層雲はよく発達していた。曇り空っぽいけど道路に私の影は落ちている。

高鎌橋からふと見上げると日暈が出ていた。日暈の上下部分がいくぶん明るくて、下の方は写真のように水平に伸びている感がある。タンジェントアークと言っていいだろうか。

思い起こせば去年は環水平アークをちゃんと見ていない。たまたま見聞録の記録を探ってみても、8月に微妙なのを見ているだけだ。この原因は、環水平アーク日和のときに空をちゃんと見てなかったからだろう。少し反省だ。

微妙といえば、用水脇の草むらの初認花は微妙なものばかりだった。肝心なときに草刈りか何かでいためつけられたものの、その後は水も光もたっぷりあったものだから、ちょっとおませになったのだろうか。


2024.3.26(火)雨 誤りに気づく

たまたま見聞録もアーカイブが溜まってきた。見聞きした動植物をはじめとする自然現象の記録だ。自転車で走っていて、見覚えはあるけれど名前を忘れてるっぽい対象を最初に検索するのはたまたま見聞録だ。

自分の記録ながらおぼろげでしかない。先日、鳶尾山で見かけたルリソウは絶対に記録した自信があった。ちゃんと同じ季節に同じ場所で写真に撮った。が、検索すると出てこなかった。エイザンスミレ?は初見ではないような気がしたが、どうやら初見だ。

そういうぼけも増えてきているが、やっぱり自分の記録はあてになる。そして振り返りたい。

我ながらたまたま見聞録の設計は甘い。年月の表記に欠陥があることはずいぶん前にわかっていた。数年前の記録だと検索に手こずることが増えている。それで、少し手を入れて検索しやすいように改良してみた。

修正作業の過程で、思いがけなく自転車のセッティングやペダリングのことを読み返すことになった。そして、数年前はこんな発想で自転車を組んで走らせてたんだと、あらためて気づくことになった。

今にして思えばそれらは誤りだらけだった。「そんなやりかたじゃあ登れないよ」と過去の自分に教えてやりたい。今やってる回すペダリングならもっとよいタイムを出せたろう。半原越の記録が30秒ぐらい縮んだかもしれないのだ。

というふうに過去の誤りを反省したものの、その誤った努力があったればこその今というのも確かだ。検証に値する理論は必ず更新される。回すペダリングの基礎理論だって破綻に気づく日がくるかもしれない。ケプラーを体系づけたニュートンがアインシュタインによって修正されたように。というほどたいそうなものではないけれど。


2024.3.27(水)晴れ 鯉の季節

鯉の産卵

群青に乗っていつもの境川湧水を覗くとずいぶん賑やかだった。コイが4頭、5頭と集まって岸辺でばしゃばしゃやってる。産卵行動だ。ヤナギの根が水中にはみ出しているような所が産卵にいいらしい。子どもの頃、コイのいる池でヤナギの水中根に透明で大きな卵がたくさんついているのを見つけたこともあった。

このコイたちはサイズからみて、境川遊水地で生まれ育ったものだろう。境川本流から遊水地に流れ込んだコイたちは例外的に命をつなぐことができている。またとない安息の地なのだ。

桜のシーズンは鯉の季節でもある。ちょうどソメイヨシノの咲く頃、ほうぼうで産卵行動を見ることができる。神奈川の中小河川はコイの投棄が一般的だから。ただし、産卵はしててもコイの幼魚・若魚をみることがない。魚なんてものは、卵→稚魚→幼魚→成魚となるにつれぐんと数が減るものだが、境川本流のコイは成魚ばっかりだ。

水中ギシギシ

大好きなコイたちが元気に泳いでいるのは楽しいのだが、ちょっとがっかりするものを見つけてしまった。写真はどうやら水中ギシギシである。雨上がりで増水しているとはいえ、水中実生に間違いないだろう。サイズからみて、少なくとも半年ほどは経っているようだ。これを見つけたくて10年以上、境川で自転車の練習をするたび、ここに立ち寄って覗き込んできたのだ。それなのに、ああそれなのに、決定的な場面を数か月にわたって見過ごしてきたとは。橋直下の死角とはいえ自分がなさけない。近所の用水路でミゾソバに狂喜したばかり。


2024.3.29(金)雨のち晴れ ホソヒラタアブ

ホソヒラタアブ

前線が去って庭に出てみると、カラスノエンドウにホソヒラタアブが来ていた。産卵場所を物色しているようだ。カラスノエンドウの葉の前でホバリングし、葉にタッチする様子を見せる。茎や葉に止まって産卵とおぼしき行動もとっている。

春本番とはいえ私の庭に虫は少ない。ホソヒラタアブはVIPなお客さんだ。カラスノエンドウのアブラムシはずっと探してはいたものの、私は見つけることができなかった。しかしホソヒラタアブを撮った写真にはアブラムシがちゃんと写っている。さすがプロはすごいな。

ホソヒラタアブの卵はわりと大きくて白いので発見が容易だ。すでに何個もカラスノエンドウに産み付けられている。もうすぐ庭が賑やかになる。


2024.4.1(月)くもり晴れ雨 ドクダミ

ドクダミ

この季節になると、庭の草花がしっかり芽吹いてくれるかどうか、いささか心配になる。木本では弱っているものがあり、草本では年を追って衰退しているものがある。ササガヤは今年も繁茂してくれるだろうか。

まったく気遣う心配がないのがドクダミだ。ドクダミは強い草だ。したたかで強い。放っておいても、病気に罹るでもなく日や水に敏感でもなく虫もつかない。今日の写真では植木鉢の真ん中にちゃっかり葉を広げている。こいつは植えたものではない。なにかに紛れてやってきたものだ。

ドクダミは種を作らないらしいから、きっと私が運び込んだものには違いない。ここには2年ほど前にツタバウンランを移植した。そのさいに地下茎の切片がツタバウンランの根元の土に紛れていたのだろう。

強い反面弱いところもある。他の草をかき分けて領地を拡大するのは苦手みたいだ。ドクダミはもともと日本に自生する植物ではなく、薬用・食用に移入されたものだ。わが家でも少しばかり利用している。いまだに生息地は人家周辺に限られ、しっかり繁茂するのに山野に逸出しない。半原越のような大自然では人が入る細道の傍らにこぢんまり生えているだけだ。害草として田畑に侵入することもない。わが家でも、撲滅したくなれば、片っ端からちぎるだけで10年もしないうちに消え去るだろう。

帰化種が問題を引き起こす昨今であるけれど、ドクダミは移入OKの見本みたいな植物だ。控えめで美しく花もかわいい。


2024.4.6(土)雨のち晴れ ヤブガラシ

ヤブガラシ

庭を見回っていて、見慣れぬ雑草が目に入ってきた。一見したところヤブガラシだ。庭にあるギザギザの赤っぽい葉はまずヤブガラシだろう。いまちょうどヤブガラシは冬眠から目覚め、根茎から芽吹いた新芽をいっぱい見つけている。

ただこいつは様子が違う。細長い緑の葉を2枚つけている。その2枚の葉は子葉、私が習ったときは双葉、のはずだ。

となれば、ヤブガラシの実生ということになる。庭でもヤブガラシの花はたくさんある。ただしその花の種を見た覚えがない。ヤブガラシの花は種にならないという先入観から見落としていた可能性もある。

それは迂闊であったかもしれないが、実生があるなら新発見だ。わが家ではヤブガラシは半保護雑草だ。ほかの雑草に迷惑にならない程度に、セスジスズメやアシナガバチなんかが来る程度に、茂らせている。こいつは別格の保護をして行く末を見なければならない。


2024.4.8(月)くもりのち雨 ツツジの罠

ツツジ

庭のツツジがおそるべき罠になっていることに気づいたのは、もう20年ほど前のことだろうか。今朝の定期巡回で、写真のように、ツツジのつぼみに貼りつく小さな虫が見つかった。ハチ、ヌカカ、ユスリカ、アブラムシ・・・というような連中だろう。

ツツジのつぼみにはゴキブリホイホイよろしくかなり粘着性の高い汁がついている。おそらく光合成で生成した糖質であろう。もしかしたらそのネバネバは虫の興味を引くのかもしれない。ただそれを踏んでしまったが最後、逃げることはかなわず命を落とすことになる。

ツツジにしてみれば、ネバネバは単なる排泄物か、良くてつぼみの保護で出している物に過ぎないだろう。せいぜいつぼみから吸汁する虫の防除になっているぐらいだ。それが回り回って小さな虫を殺すことになっている。双方に利益はない。虫は犬死、ツツジはゴミがついて迷惑といったところ。

ただ自然界には虫を捕らえて栄養にする食虫植物なるものがいる。やつらも元はこのツツジのようになにげに捨てた排泄物にまみれて死んだ虫の栄養を利用できるように進化したのかもしれない。


2024.4.11(木)晴れ 偽物ギシギシ?

ギシギシ

自転車の練習をしようと、ウィリエールでいつものルートを行く。目久尻川沿いに相模川だ。写真の場所は混雑した50号線を離れて目久尻川に降りたあたりだ。源流から1kmほど下ったところ。目久尻川は源流からここまでは半分暗渠、残りは落ちたら大けが必至の深いコンクリ溝で、湧水河川とは思えないほど水質がわるい。しかもここは生活排水も入ってよどみ、自然豊かな目久尻川では見応え最悪だ。

今日もなんの期待もなく川面を横目に走っていると、驚愕の光景が目に飛び込んできた。川の中央あたりにギシギシがあるのだ。これにはたまげた。自転車を止めて探すとすぐに3つ(丸囲み)見つかった。

いったいぜんたいどうしたことだろう。見逃したのはしょうがない。ここは普段ノーチェックの場所なのだから。そもそもこんなところに水中ギシギシがあるのはおかしい。

付近の岸にギシギシはたくさんあるので種は供給されるだろう。しかし水質が悪く底床もあやしい。自然石をコンクリに埋め込んでいるみたいだ。こんな所で種が芽吹いて成長できるはずがない。水深は20cm以上ある。ぜったいおかしい。

ならば天空の城ラピュタのようにぷかぷか流れてきてたまたまひっかかっているのか? そのケースは境川で見ている。しかしいっぺんに3つの若いギシギシが流下してひっかかるだろうか? 写真右のほうに写っているのは水中クサヨシだ。こっちなら実生かもしれない。可能性は低いけれども。

ともあれここに入って確かめるわけにもいかない。もし根付いているのなら流れない、ひっかかっているだけなら流れる・・・というぐらいの微妙な増水後にチェックしなければならない。


2024.4.12(金)くもり雨 ヤブガラシではない

ヤブガラシとの比較

6日のヤブガラシが不安になってきた。毎日観察して撮影しているうちに、ヤブガラシではないだろうという疑念が出てきたのだ。

写真左の方が問題の草だが、葉の形が右のヤブガラシとはぜんぜんちがう。ヤブガラシの葉の切れ込みは鋸歯とよばれるものだろうが、不明のほうは欠刻だろう。色つやは似てても形状が違うのだから別種だ。ヤブガラシの種にお目にかかったことがないのだから、ヤブガラシじゃないほうが自然だ。

となると、ヤブガラシ以外の草ということになるのだが、庭の雑草はそう数多いわけでもないのに、こいつに該当するやつの心当たりがない。

成長を待ってその正体を突き止めなければならない。もしかしたら、最初の本葉は形状が違っていて、じつはヤブガラシだったという二重のオチもなきにしもあらずだ。


2024.4.15(月)晴れ 結婚飛行を見逃す

クロナガアリの巣口

朝、庭を回っていると、クロナガアリの巣の異変に気づいた。春になって開けられていた巣口が大きくなっている。面積にして10倍はある。しかも穴は2つ。ただしアリの姿はなく静まりかえっている。

しばらくぽつぽつ出入りする働きアリは見ていた。今年も結婚飛行に飛び立つのかな? と気にはしていたものの、あいにく土日の日中は東京に出かけて立ち会えなかった。思い返せば好天で暖かく風が弱い、結婚飛行日和だった。

私のクロナガアリが結婚飛行に飛び立つのは初めてではない。2021年の5月6日には旅立つ新メスを撮影している。

新メス・オスにとってもけっして楽な旅立ちではないだろう。アリのことで、ほとんどは失敗に終わるはずだ。1匹でも生き残って新しい家庭を持ってもらえればうれしいが、それを見届けることはできない。


2024.4.16(火)晴れ 偽物にあらず

水中ギシギシ

あきれたことに、11日に目久尻川で見つけたギシギシのそばに、まだ水面から葉を出していないギシギシが見つかった。けっこう深い所に根付いて4枚ばかりの葉を伸ばしている。11日にはここが水中ギシギシの生息地だと信じることができず、おざなりの探索だった。とにかく驚いた。

じつは見つかったのはこれだけではない。水上に葉を出しているのはあと3つほどある。偽物どころか、水中ギシギシの楽園といって過言ではない。目久尻川の水底はちょうどもふもふで覆われる季節だから、もしかしたらもっと小さいのが隠れているかもしれない。目久尻川のもふもふは梅雨頃に消える。しばらくここから目が離せなくなってきた。

目久尻川

水中実生を見つけたところから上流を見ればこういう光景になっている。長い暗渠を出ると流れの中央に泥のたまる所があって、ギシギシなんかが生えている。ここに限らず、この上流でもコンクリの割れ目にギシギシは生えている。種の供給は多い場所ではある。

その泥たまりを過ぎると深みになって水が淀む。深みが終わって浅く泥がたまる所が水中ギシギシの楽園だ。

ギシギシのたくましさもさることながら、湧水河川目久尻川のポテンシャルはすばらしい。ここから数キロにわたって岸際の水中に根を下ろすギシギシは珍しくない。流れの中央でも岩や木やゴミが溜まっているところによくギシギシは育っている。

ともあれ私はこの楽園から謎をかけられてしまった。どうしてここにギシギシがあるんだろう。一例では、芹沢川の合流点にあたる三又橋も堰堤下の深みがあって、砂泥が流れたまるところに水中実生が何本もあった。そこに共通点はある。解ける気はしないけど、気にしておれば驚愕の発見があるかもしれない。


2024.4.20(土)晴れのちくもり 美人林

美人林

写真は新潟松之山にある「美人林」。へんてこな名前だけど本気だ。大正から炭焼きで使ってきた雑木林を炭焼きがすたれた戦後に杉林にしようとしたところを、山林の所有者が林として残すことにして今に至るという。関東ではそんな林も少なくないが、新潟あたりの田舎では奇跡的なことだ。残す理由が「きれいだから」というのがまたすばらしい。

私もブナ林はきれいだと思う。解け残る雪の新緑なんて格別だ。ただそういう場所にはおいそれと近づけない。近づけたとしても林の中を歩くにはそれなりの装備と技術を要する。その点、美人林は自動車横付けの観光スポットというのがありがたい。きれいに整備された林床を女房と仲良く散策できる。

新潟に行った目的はブナではなく山古志あたりの山里を楽しみたかったからだ。春はやっぱり雪国がいい。遠目には春霞(近ごろは黄砂という)にけむる色とりどりの山並みがある。足元にはカタクリやショウジョウバカマの群落がありギフチョウが転がるように飛んでいる。クルミ林の小道に分け入れば、そこいらじゅう山菜だらけ。

山菜採りのおばあさんたちとであって、獲物は何かと聞くと、アケビだという。春のアケビはしらなかった。なるほどと落ち葉の地面をさぐれば芽吹いたばかりアケビのつるがごまんとある。その細い茎を煮て食べるのだという。山古志あたりではごく一般的らしいが、私にはめずらしかった。いろいろ興味がわいて話し込んだら、食べてみろと一握りくれた。ありがたくいただいた。


2024.4.22(月)雨のちくもり 数学クイズ

数学

このところYoutubeにはまっている。もとはといえば、フランキーたけさんのペダリング講座からはじまって、各種ペダリング解説の間違い探しなんぞをしていたが、そのうちのもと物理愛とか女子卓球とか、いろいろなものを見はじめた。

それらはいいのだが、今日の写真のように数学の入試問題を引いているものなんかが目に入ってくる。私はクイズが弱点だ。見つかるとついつい解いてしまう。すぐに解けないと答えが気になってしょうがない。なんだか弱みを突かれているようで腹が立つ。なんでいまさら入試問題なんぞを・・・。

写真の問題は、Xが素数なんだから、右辺は自然数を2つ足した奇数でなければならない。奇数ってのは偶数+奇数だから、どっちかが偶数になるためには、p、qのいずれかが2でなければならない。p=2とすれば2のq乗とqの2乗を足して素数になるのはそう多くないぞ・・・いや、いっぱいあるのか?

ここまで考えて行き詰まった。この先は鉛筆がないと私には無理だから。解く気が失せても、ときおりふと無意識に考えを進めてしまう。そういう習慣をつけるのが受験勉強の秘訣なので、私のような性分の人間は受験に向いている。ただし頭がいいわけではない。数学は下手の横好きで数式の計算が苦手だ。この問題も思い浮かぶたびにさっさとやりすごして解は得ていない。

解けてないことにひっかかっているものの、動画を再生して解法を見ると負けだ。クイズが弱点という自覚はあるので、歯を食いしばって辛抱だ。そのさいに「これは数学の試験問題だけど、それは見かけだけの数学。数学の醍醐味はない。官僚選抜用クイズに過ぎない」とレッテルを貼って、解きたい自分を抑制する。


2024.4.23(火)くもり 斑紋多彩

テントウムシ

境川にかかる高鎌橋の道ばたにささやかな草むらがある。毎年早春にスズメノエンドウを撮影しているところだ。いまはヨモギの威勢がいい。そのヨモギを見ているとテントウムシが目に入ってきた。ナナホシテントウも混じっているのかと思いきや全部テントウムシだ。テントウムシは黒とオレンジの前翅模様が別種に見えるほど違っている。

はじめは2つ3つだったが、次々に見つかる。交尾しているものも多い。ひと抱えほどの草むらに10頭以上いる。たまたまだろうが、どいつもこいつも模様が異なっている。オレンジ色も黄から赤まである。珍しさのあまり撮っておくことにした。これだけ撮るのに2分ほどしかかかっていない。


2024.4.24(水)くもり雨 保護植物

キエビネ

昨日まではキンランだと思っていたキエビネは去年の春、突然花が開いて何事かと思った。こういう派手で見慣れぬ花がやって来るような庭ではない。

このあたりは20年ぐらいまでは薪炭林が残されていた。キンランが咲いてアブや蝶が飛び交う春の林はとっても気持ちよかった。私の庭も宅地になる前はそういう林だったはずで、その林床に残っていたキンランの種が復活したのだと想像していた。昨日になって植物学者から、キンランではなくキエビネだと教わった。キエビネも近年減っている植物だということだ。

キエビネも庭に来る原因はよくわからない。希になってしまった動植物なんて来るはずがない。近年の開発は急速で半径数百メートル以内にあった林はほぼ消滅している。売り出し中のアメリカフウロとかナガミヒナゲシとか道ばたにたくさんある草なら種が運ばれて来ることもあろう。

キエビネはおそらく人が手入れを怠らない山里の林床環境に育つ植物だろうと思う。庭も草や虫にはできる限り好きにさせてじゃまになったらトリアージをかけるという管理は古き良き日本の山里に近いかもしれない。

ともあれせっかく来てきれいな花をつけるのだから一級保護植物に指定しよう。じゃまになっても抜かない。葉のない冬はまちがって抜かないように注意する。それが一級保護植物。

10年ほど前に指定したセイタカアワダチソウは保護の甲斐もなく絶滅したが。


2024.4.28(日)晴れ 脱皮殻の明暗

脱皮殻

壁にヒラタアブとおぼしき蛹の抜け殻があった。近くにはカラスノエンドウの茂みがありアブラムシがびっしりたかっている。きっとそのアブラムシを食べたヒラタアブがめでたく羽化したものらしい。

脱皮殻

その近くにも脱皮殻がある。こちらのほうはちょっと様子がおかしい。あらぬ所に穴があいている。どうやら寄生蜂あたりが蛹を食い破って羽化したようだ。穴を通して蛹の亡骸のようなゴミが見える。

この寄生虫にはおおよそのアタリがついている。21日に撮影したヒメバチだろう。このハチはよくカラスノエンドウを訪れている。時期からすると、ちょうどこいつの子が蛹になるころで、すでに2つばかり蛹化前の幼虫をみている。どうやらそれら幼虫の親がこの亡骸から抜けたのだ。もしかしたらここから抜けたのはまさにこのヒメバチかもしれない。

ヒメバチはアブラムシをそうとう食ったろう。小さな虫の明暗がかいま見える脱皮殻だ。ただアブラムシはほぼ無尽蔵で、食われて減った感じはまったくない。有翅虫が屋内に飛び込んでいささか迷惑なほどだ。


2024.5.1(水)雨 グーグルレンズ

脱皮殻

グーグルレンズは強力な画像検索ツールだ。虫の同定にも役立つことがわかって重宝している。

今朝、庭のハルジオンに見慣れぬ小甲虫が来ていた。5mmほどあり、ヒメマルカツオブシムシより大きく模様は地味だ。この手の甲虫は同定難易度が高い。なにかヒントが得られるかと、グーグルレンズを使ってみると、写真のようにValgus hemipterusというヒラタハナムグリ亜科がヒットした。とってもよく似た虫で、間違っているとはいえすごいなと思う。

触角の形状なんかは明瞭な違いがある。こいつはハナムグリ系ではないなといろいろ探って、今日のところはマメゾウムシの一種あたりだろうということで決着している。著名な害虫なのでネット上にデータも多いが、これだ!というのは見つからない。科や属のアタリがつけば図鑑をひいて同定に行き着けることがある。残念ながらこいつは、伝家の宝刀「原色日本甲虫図鑑(保育社)」のマメゾウムシをみてもいまいちピンと来なかった。

最終的には図鑑を開いて記述を読んで確認することにはなるが、下調べにグーグルレンズが有効だ。今回のValgus hemipterusはアメリカあたりでの撮影だと思う。虫の場合は見つけた場所と季節が鍵になるので、そこを絞り込みたいとグーグルレンズに要望しておいた。


2024.5.2(木)晴れ オオキンケイギク

オオキンケイギク

ウィリエールで境川に乗り出すと、オオキンケイギクが咲いていた。今年初めて見る花だ。しかし写真のこの場所は境川でのオオキンケイギクの観察ポイントではない。きっといつもの所にも咲いてるんだろうと、ひとまずスルーした。

境川のオオキンケイギクポイントは鷺舞橋のやや上流にある。最初に群落を発見した場所でもあるし、盛大に花を見られる場所でもある。そして駆除の対象にもなっているようで、この数年は花の季節に草刈りが入っている。しっかりした道具を使って数人で作業し、刈ったら軽トラで運ぶという念の入れようだ。個人の思いつきでやってる駆除ではない。

しかし今のところオオキンケイギクが弱る感じはない。駆除のときにはすでに種もまかれているようであり、土壌をごっそり排除するわけでもなく、近所にいくらでもある植物だから切りのない作業ではある。

その鷺舞橋のポイントに花はなかった。そのほか境川の自転車練習コースには見あたらない。目立つ花だから見あたらないのはまだ咲いてないからだろう。

写真の場所はヒルザキツキミソウを初見した所に近い。写真の奥の方に咲き誇るヒルザキツキミソウ群落が写り込んでいる。ヒルザキツキミソウもフライング気味に花が早かった。オオキンケイギクも早いとなるとこの場所になにか秘密があるような気がしてきた。勢いに乗っている外来種で、他に草がない単群落・・・というのが両者の共通点だ。ほかに他の生息地との差はわからない。


2024.5.5(日)晴れ 絶望のアゲハ

アゲハ幼虫

いよいよ本格的な夏に入って庭の雑草は勢いを増しているように見える。しかし、この先のないものがいることを私は知っている。

ムラサキカタバミは花盛りだが、これも梅雨時まで。盛夏ともなればさび病にみまわれいったん枯れ果てる。マムシグサは緑の実がふくらんでいるが、種が熟すことはない。孤独な個体であるからだ。一冬を根茎で耐えたハルオコシは葉を展開したものの、うどんこ病的なものの攻撃を受けて、この先の成長は危うい。カラスノエンドウは春には無敵の繁茂を誇ったが、種のできが悪い。今年は例年に増してアブラムシが多かった。でもアブラムシにたかる虫が少なかった。その影響かもしれない。

写真のサンショウも先はなさそうだ。年々弱り、この春はかろうじて葉を広げたが、もうしおれている。この夏限りの命だろう。葉の展開と同時に花をつけ、みょうに早いなといぶかしく思ったが、自分の寿命を悟っていたようだ。

残念ながらこのサンショウで育っているアゲハはサンショウとの運命共同体だ。幼虫は3頭ばかり確認できている。少し育っているが、もう食料はわずかだ。写真の幼虫も遅かれ早かれ餓死する運命だ。


2024.5.7(火)雨 テントウムシは遅かった

テントウムシ幼虫

おそらくナナホシテントウだと思うが、今朝ようやくテントウムシの幼虫が見つかった。写真のようにカラスノエンドウに3頭が止まっていた。すでに相当数のアブラムシを補食している。

テントウムシの幼虫にはもう少し早くカラスノエンドウに来て欲しかった。おまけにヒラタアブの幼虫も今年は少なかった。

テントウムシ幼虫

弱っているのはカラスノエンドウだ。5月になってこれほどアブラムシの多い年は記憶にない。写真のようにさやにもいっぱいたかっている。新しい葉も枯れた。こうなっては結実がうまくいかない。例年なら真っ黒になったさやがたくさん見つかるところだが、それなりのは1つしかない。来年の発芽まで心配になる状況だ。

これが虫害というものだろう。カラスノエンドウ愛好家にはたまったものではない。私は愛好家ではないから、まあこんなこともあるだろうと放置しているが。

アブラムシ大繁殖の原因として、この住宅地の自然度の低さはあると思う。アブラムシは天敵がいなければ大繁殖できる虫である。この庭は確実にアブラムシに見つかる。天敵であるヒラタアブやテントウムシ、クサカゲロウは血眼になってアブラムシを探しているはずだ。しかし、圧倒的に数が少ない。残念ながら近所からどんどんアブラムシの楽園(雑草群落)が消えている。今年はテントウムシが私の庭を見つけられなかったのだろう。


2024.5.8(水)晴れくもり雨 カエデなのか!

カエデ

群青で境川に乗り出して、川べりの道路を走っていると、ふと足元の雑草が気になった。ふだんから観察している植物ではない。何でかな?と50メートルほど行ったところで、あっあいつだ!と気づいた。引き返して気になった草を見れば、それはカエデの幼木だ。

4月6日に庭で実生を見つけ、まずはヤブガラシだと喜んだ。種をつけないヤブガラシで実生は珍しい。しかし、どうも葉の感じでヤブガラシではないと気づいて、その正体が曖昧になっていた。庭に生えるぐらいだから、そのへんにいくらでもある植物だろうから、そのうちわかるだろうと、先延ばしにしていたそのうちというのが今日だった。

カエデならぽつぽつ種が飛来している。庭で芽をふくことだってありふれたことだ。


2024.5.12(日)くもり 素数の問題

京都大学の入試問題だという数学クイズをユーチューブで目にしたのは先月のことだ。問題は以下でとってもシンプル。

問題

一目見てpかqは2でなければならないことはわかった。しかし、その先が解けなかった。数学力がないからだ。大学だって文学部だった。こういうクイズは私の弱点。解けなければ悔しくて、あとを引く。しかし動画を見るのはもっとくやしい。「気にしない。考えない」でやり過ごそうと思った。しかしダメだった。ふとしたひょうしに問題が脳裏に浮かぶ。自転車に乗ってても現れる。眠れぬ夜は布団の中で1時間2時間とあーでもないこーでもないと考える始末。

q=2とすれば、pの2乗+2のp乗に素数pを1つずつ当てはめていけば答えは出る。p=3は簡単で、9+8=17でX=17が得られる。答えの1つは確実に17だ。ここまではすぐに解けた。京都大学の先生だってこれで点数を半分くれるかもしれない。そこで忘れようと、こんなものにかかわるのはよそうと、固く決意したのだった。

でもだめだったので、ひとまず次のpを式に入れて、Xの候補を試算しようと思った。これが難しかった。それでも数時間のトライで、p=11まではなんとか暗算できた。パソコンやってるので2の11乗=2048までは数字を覚えているのがよかった。2048+121=2169である。

ただし、2169は解ではない。素数ではないからだ。2169だけでなく、暗算で見つけた3つの解は全部3の倍数だった。ということは解は17だけで、あとは全部3で割れるのでNG、というのが正答ではないかと予想できた。

それを証明しなければならない。これがとても難しい。10時間ほど検討した。2のp乗は全部偶数だから、3で割ると余りが1またはー1(2ともいう)になる。

2の自然数乗を2、4、8、16、32、64、128、256、512・・・・・とならべてみれば、2の奇数乗の次の数は3の倍数になっている。どうやら2のp乗を3で割った余りはー1らしい。

一方、pの2乗は3で割ると余り1になるようだ。その両者を足して、(pの2乗+2のp乗)を3で割ると余りはー1+1=0。よってそれは3の倍数、素数ではないので解にならない。こう予想できた。

ここで頓挫している。3で割った余りがー1になる、1になる、そのことの証明ができないからだ。紙と鉛筆を使ってやればできないことはないと思うけど、それをやるのはクイズに負けたようで悔しい。まだ戦いは続くのか。2のp乗のほうは、奇数乗なら余りがー1になるってことは簡単に証明できるが、pの2乗を3で割ると余り1になるってのはずいぶん難しい。場合分けして{(2n-1)(2n-1)-1}÷3が整数になるとか・・・そのたぐいの計算って私にできるのだろうか? 暗算で。

ちなみに、エクセルならたちどころに私の予想が正しそうなことが目視できる。p=3のときはpの2乗は3の倍数になっているので、足した数が素数になる。

問題


2024.5.13(月)雨 オレ天才!

昨日の数学クイズが解けた。それも驚くべき閃きで解けた。まさにオレ天才!と感じる瞬間だ。

まず、2のp乗のほうは、奇数乗なら余りがー1になる。それは、(3-1)(3-1)(3-1)(3-1)・・・・p回繰り返す、ていう計算なのだからpが偶数なら(3の倍数+1)、奇数なら(3の倍数ー1)になるからだ。これはすぐにわかった。

いっぽう、pの2乗を3で割ると余り1になるという証明は困難を極めた。それが先ほどすっと解けたのだ。

pの2乗を3で割ると余り1になるってのは、式にするとp^2-1が3の倍数になるということだ。変形して(p+1)(p-1)が3の倍数であればよい。しかしここでずっと手詰まりだった。驚くべき解法とは、それにpをかけることだ。

(p-1)p(p+1)という式は連続した3つの自然数のかけ算だ。つまり(p-1)p(p+1)は3の倍数になる。pをかけたからだろ?っていう心配は無用。pは素数なのだから(p-1)(p+1)のほうが3の倍数でなければならない。

素数を挟む2つの数をかけた値は3の倍数ってのは受験生なら知識として持っているのかもしれない。または私の知らない定番の解法がなければ入試の問題としてはいまいち。

それはともあれ閃きで解答するのがクイズの醍醐味。解けるとうれしい。ただ、せっかくの閑がつぶれてしまうので、なるべく手を出さないようにしている。


2024.5.15(水)晴れのちくもり 今日の目久尻川

目久尻川

月曜にまとまった雨が降り、今日はいそいそと目久尻川に出かけた。写真の場所には水中ギシギシがある。その様子をチェックするのが第一目的だ。春のもふもふはとれているだろうか。

ギシギシにまとわりつき厚く覆っていたもふもふは半分以上がとれていた。これは予想通り。水中ギシギシは何かにひっかかっているものではない。実生が確定だ。でもどれも状態が良いようには見えない。今後も定期的にみておきたい。

ギシギシを見ていると、小魚に気づいた。群れ泳いでいる。サイズと形からしてカワムツだろう。目久尻川では少なくない魚だ。私にとってのキングオブフィッシュ。

前回はまったく魚の姿はなかった。雨の増水を利用して遡上したのだろう。川の魚は増水で上流に向かう習性があると思っている。堰堤や魚道なんかも増水すれば越えやすいだろう。カワムツにとってはここが目久尻川のどんづまり。ここから上流は暗渠と深い3面護岸の浅い流れになっている。

魚を見ているとモクズガニもいた。こいつも目久尻川ではけっこう見ている。

目久尻川を下っていくと、オオキンケイギクが花盛りだった。大きな黄色い花が密集しているのは見応えがある。川がいっぺんにはなやかになる。ただし嫌われものになっている。

私もいまいち好きな花ではない。オオキンケイギクは良い蜜と花粉があるらしく各種虫が寄る。その虫がうまく撮影できないのが好きになりきれない理由。川べりのオオキンケイギクはいつも風に揺れている。虫にピントを合わせられないのだ。今日も撮れたのはハナムグリだけ。おしべの中に一心に顔を突っ込んでいるのを選んで、花びらを左手でつまみ撮影。アブとかハチとかチョウは無理。また、オオキンケイギクのきつい黄色はカメラにも厳しいらしくいい色に写らないもの難点。


2024.5.16(木)雨のち晴れ ヒメジョオンの虫世界

蛾の幼虫

庭にはすっと伸びたヒメジョオンが数本あってつぼみをつけている。ヒメジョオンという確信はないけれど、ハルジオンの花が終わったいまから花を咲かそうとしているからヒメジョオンだと思う。

そのヒメジョオンの先端のほうに小さなイモムシを見つけている。今日は写真のようにつぼみを食べていた。こういうものでも順調に育っていると毎朝の楽しみになる。

ちかくのヒメジョオンを見れば、アブラムシがたかっていた。昨日までは気づかなかった。ヒメジョオンのアブラムシは小さくて草体にとけ込む色模様をしている。このアブラムシの親はどこから来たのだろう。庭に常駐しているのならすごいなと思う。冬期にそれを発見するのは絶望的に難しいけれど、気に留めておけば見つける可能性はある。

アブラムシの繁栄具合を眺めていると、何者かがアブラムシを食べている姿があった。肉眼(老眼鏡付き)ではその正体がわからない。写真にとって見れば、どうやらヒラタアブの幼虫らしい。こちらもアブラムシの発生をめざとく見つけた母親が卵を産んでいるのだ。

ささやかだけど、ヒメジョオンをめぐる虫世界がここにしっかりある。


2024.5.17(金)晴れ うまくいかない日

女房と半原越を散歩していて、愛川町の中津川がいい感じに二股分岐している所を見つけた。山の林道から見下ろしても、なにやらいわくがありそうで、なおかつ美しい流れだった。近々行かねばならないと思った。

今日は自転車の練習をする気になれず、その川を見ておこうかと群青で出かけることにした。いつものルートをたどって相模川に出た。田んぼの中を走っていると、視界右にオレンジ色のトンボが1頭入ってきた。見えたのは1秒もなかったが、その姿がウスバキトンボに見えた。慌ててUターンして探しまくったがすでに影も形もない。もしや幻を見たのか? ここからうまくいかない1日のはじまりだ。

愛川町への道はちょっと嫌いな感じに整備されている。自動車の通行に適した広い道路だ。なんだかやだなと目的地の愛川町田代に着いた。見るからに中津川の水の恩恵を受けている集落だ。昭和の古い家屋もあるが、ほとんどは新品住宅でいろんな商業施設もセブンイレブンもある。小中学校だってある大きな集落だ。

目標の流れはなんということもない代物だった。愛川橋のすぐ下流を重機で掘った水路だった。水に近づける場所はなかった。道路沿いに自転車を走らせて流れを追うと、用水路になっていた。どうやら昔は田代の住宅地は水田で、中津川から水を引くための工法と思われた。水田用のみならず、生活用の水路でもあったことは古い集落を縫う用水の配置からもわかった。今は昔の水郷なんてとくだん愉快なものではない。

ジャコウアゲハ

ちょっとがっかりして帰り際に鳶尾山に登っておくことにした。黒いチョウが前を横切り右手の草むらに止まった。クロアゲハだなと見送ろうとして、なにか違うと目を見開いた。真っ黒だけどジャコウアゲハみたいだ。

慎重に近づいて撮ったのが今日の写真。中央にあの紫色がでている。TG-5の弱点だ。逆光というわけではない。黒い蝶、暗いカラムシの葉、その回りにやたらとてかる照葉樹の葉があった。逆光的なシチュエーションだ。なんとか紫ムラを消せないかといろいろトライしたがダメだった。しかたなく蝶を右上隅に置いて引きで撮っておいたが、TG-5は隅っこのほうまで高画質とはいかない。真っ黒なジャコウアゲハは初撮影だった。きれいに撮りたかった。

鳶尾山を越えて荻野川に出ると、小鮎川が気になってきた。このあたりでは代掻きの盛りで水田に水が張られている。ちょっと早いが小鮎川のコガムシが多産する田を見ておきたい。

荻野川から小鮎川に出るのはちょっと嫌な感じのゴルフ場の道だ。無駄に急な登りにかかると、道路の真ん中に白っぽい大型の蝶が転がっていた。アカボシゴマダラだ。今日はこいつをたくさん見る日だ。一時は衰退傾向にあるかと心配もしたが問題なさそうだ。瀕死みたいだけど一枚撮っておこうと自転車を止めて近づいていく。そこにオートバイ。1時間に1本あるかないかの車両がこのタイミングで来るとは。

ちょうどタイヤが蝶を踏むコースだ。オートバイが蝶に気づくはずもない。だめかなと見ていると運良くすれすれでぺしゃんこになるのは避けられた。そしてオートバイの風が蝶を驚かせた。蝶は少しだけ飛んでまた道路に降りる。瀕死と見えたが元気だったのだ。ではと近づいて道路に座り込んで、シャッターを押そうとしたその瞬間、蝶は飛んだ。今度は必死で逃げるモードだ。飛び方がおかしい。路面にへたり込んでいたとき前翅が一部よれていた。羽化不全だったのか。蝶は不自由な翅を思いっきりばたつかせてゴルフ場のネットを越えた。

なんなうまくいかないなと、小鮎川に降りて例の田んぼに向かう。今日はまさに水入れの日だった。1枚の水田の2割ぐらいに水が溜まっている。田はがらんとしたものだ。生き物の息づかいはない。コガムシの姿もない。


2024.5.21(火)晴れ ハクビシンの被害

糞

屋根にハクビシンと思われる動物の糞が落ちていた。この糞は片付けなければならない。雨樋に流れてつまってしまう恐れがあるからだ。

糞の中にはいろいろな種が入っている。はっきりわかるのはビワの種だ。ビワはこのあたりにも植えられている。熟しているのは見ていない。まだ青いビワを一生懸命食べているようだ。

ハクビシンは夜行性で姿を見ることは滅多にない。ただ、朝の庭観察でハクビシンがうろついていることはわかる。ヒメジョオンとかヤブミョウガはすぐに倒れるから、なにか大型の動物が歩いた跡が歴然だ。

ハクビシンが来ても被害は軽微だ。いま庭に鳥の巣はない。ハクビシンの餌になるような大型の動物はいない。カナヘビは餌になるだろうが、いまのところ捕食されている形跡はない。カナヘビの数は多く尻尾の切れた個体はいない。カナヘビにとってはイエネコのほうが脅威みたいだ。

被害は今のところ糞害に留まっている。頻繁にスイレン鉢に糞を落としていくのには腹が立っている。なんでわざわざそんなとこに? という小さな疑問とともに、掃除はがめんどくさくて悔しい。


2024.5.24(金)晴れ ジョロウグモは飛ぶ

ジョロウグモ

朝、床から起きようとして何気なくベランダのアルミ柵を見るとそこにクモの巣があった。その形から、もしやと近づいてみると、どうやらジョロウグモらしいことがわかった。取り急ぎTG-5をとりだして撮ったのが今日の写真。

ジョロウグモは2齢のようだ。卵の袋から出たクモの子らはまどいを作る。集団で巣を架け集まっているのだ。その状態を幾日か経て最初の脱皮をした後、まどいを離れる。

私は散ったクモの子は糸を出して空を飛ぶと考えていた。だが、単なる推測でしかなかった。それが2階のベランダに子が来て巣をかけたとなると、飛んできたと考えるのがまっとうだ。去年、わが家で卵を産んだジョロウグモはいなかったからだ。わが家だけでなく、クモの子が歩いて来られそうな範囲にジョロウグモはいなかったのだ。

こうしてジョロウグモが飛んでくるなら、庭でジョロウグモの姿を見ることができるかもしれない。ただちゃんと成長してくれるかどうかが大きな懸念。


2024.5.31(金)雨のちくもり 兼六園のイトヨ

兼六園

写真は金沢の兼六園。この流れにイトヨがいると信じてきた。徽軫灯籠のわきを流れる細い流れに数頭のイトヨが群れている、その光景がしっかり記憶されていた。

金沢に住んでいたのは40年ほど前。兼六園には数回足を運んだが、イトヨを見るために出向いたことはなかった。27日に金沢を訪れる機会があり、兼六園にあるイトヨの流れを見ておきたいと思った。今でもイトヨはいるのだろうか。

平日であったが、兼六園は観光客でにぎわっていた。雪吊りや花の季節でもないのにたいしたもんだと、徽軫灯籠の脇まで登ってきたとき悪寒がした。記憶にある流れがなかったからだ。

天下の名勝兼六園の流れが変えられるはずもない。記憶の流れを探って園内を歩き回ったが、それらしいものすら発見できなかった。

兼六園は丘の上にあり、その水は犀川上流から人工の導水路で引かれている。園内をめぐった水は暗渠と用水で犀川に捨てられる。兼六園はイトヨが遡上して巣を作れるような場所ではない。

冷静に考えれば、兼六園やその周辺にイトヨは生息できないことぐらいはわかる。私は妄想していたのだった。いるはずもない生物をUMA的に信じ込んでしまうのは珍しくはない。とくに子どもであれば普通だ。私は子どもの頃からイトヨは見たい魚の一つだったが、兼六園を知ったのは20代半ばのいい大人になってからだ。いったいぜんたい「兼六園のイトヨ」というイメージはどうやって私に忍び込んだのだろう。

日本海側ではどこにでもイトヨが遡上してきたらしい。当時だって石川県にイトヨはいたろう。魚類学者等からもいろいろな情報は得ていた。「昔は食用になっていた」という話も聞いていた。そう珍しいものでもないようだが、その姿を自分の目でみておきたいとは思っていた。兼六園にイトヨがいると信じ込んでからは、その情報を仲良しの魚類学者に教えてあげようとまで思っていた。実際にそうすればもっと早く妄想だと判明しただろう。


2024.6.1(土)晴れ 悪夢

りんご

金沢の兼六園にイトヨはいない。40年前にもいたはずがない。私が見たのは幻想だ。こう気づいたのはいくぶんショックだった。その幻想の出生地を辿れる見込みもなかった。

その夜、午前1時頃、日航ホテルのベッドでどういうわけか妙な考えに囚われていた。糸でぶら下がっているりんごが傾くのはなぜか?という思考実験のようなものだ。

図にあるように特段仕掛けがあるわけでもなく、何かの力が働いているわけでもない。考えてらちのあくはずもなかった。しかし、私はその考えに囚われてしまい、あーでもない、こーでもないと真剣に考える始末。頭の中にはりんごのイメージがゆらゆらしている。そのうち眠りに落ちた。

午前2時頃に目が覚めた。夢を見ていた。りんごが傾く条件として、こーなったら傾いて糸がりんごに触れそうになる。なかなかいい感じだぞ、などと悦に入っている。目覚めてからその考えを反芻するうち、ふたたび眠りに落ちた。

次に目覚めたのは午前4時頃のことだった。やはり夢を見ていた。りんごは切断のしようによってはさらに傾く。うまく切れば90°ぐらいまでいくんじゃないか。さてその切り方はどうすればいいのか。下の方を水平に切り取るってのはどうだ? いや垂直のほうが・・・そういう思考実験だ。目が覚めてから、その方法ではうまくいかない、もっと画期的な方法が必要だとあれこれ考えていると眠りに落ちた。

次に目覚めたのは午前6時5分のことだった。やはりりんごを傾ける夢を見ていた。どうやら私は夢の中でこの思考実験の解決を得たようだった。あせりも追い詰められた感じもなかった。その解がどんなものか、妥当なものか、それは一切不明だけど。

続き物の悪夢は珍しくないが、こんなのは初めてだ。寝ても覚めても傾くりんごの問題に囚われていた。私は一晩中しょうもない妄想に囚われていたのだろうか。この一夜を反芻しつつ一種の狂気だろうと胸騒ぎに襲われしんどかったが、こんなこともあるだろうと、起き出してきた女房に夢のことを話しておいた。

思考実験の夢といえば、ケクレは夢の中でベンゼンの構造式を猿の群れの実演で見せてもらったという。メンデレーエフは完璧な元素の周期表を夢で見たという。ラマルジャンは人間技とは思えない数式を夢で女神から教わったと言ってる。

そんな天才たちの大発見も、構造的には私のりんごと相似なんだろうかとふと思った。ラマルジャンたちは、難しい問題を考えて考えて考え抜いて一種の精神衰弱に陥ってたのではないだろうか。人類史に名を残したとしても、さぞや苦しかったろう、正解を得て狂喜乱舞することもあったろう。そして次なる思考実験に囚われ苦しんだろうと、いくぶんか同情してしまった。


2024.6.4(火)晴れ ギシギシ流失

 目久尻川

目久尻川の水中ギシギシが消えていた。このところ幾度か驟雨があったので、流されてしまったのだろう。水流の強さは河原の雑草の様子からも歴然だ。水中ギシギシと肩を並べて育っていた河原ギシギシも同じくその姿を消している。

消えた株を見つけたのは去年の7月5日のことだった。この経緯から、ギシギシは一年草だとわかる。水中から芽吹いたものも岸で芽吹いたものも1年だ。

水中ギシギシは順調に育ってこの夏は花をつけ実を結んだ。それらは水中に強い子たちかもしれない。目久尻川のどこかで根を張って芽吹くこともあるだろうか。


2024.6.5(水)晴れ ギシギシ開花

 ギシギシ

定期観察している境川のセブンイレブン裏のギシギシが開花していた。ここの開花はちょっと特別だ。というのは5月の初旬に草刈りがはいって、いったん丸坊主になったギシギシだからだ。

たくましい草ということは知っていたけど、皆伐から2〜3週間で花を咲かせるとは。あっぱれとあきれるほかない。

 ギシギシ

ひと月前、ここはギシギシの楽園だった。写真にあるように高さ1mになろうかという株が林立し、それはそれは壮観だった。毎年のハムシの被害が軽微だったのが良かったのかもしれない。しかし写真を撮った数日後には草刈りが入った。ここは年に数回定期的に草を刈る場所だ。畑の脇にある未舗装の公道と用水路なんだから当然だ。

まあ地上部を刈られたぐらいでしゅんとなるやつらではない。2週間ほどたった5月20日にはぐんぐんひこばえが伸びている。そして今日には数株が開花していたのである。

世間ではギシギシの枯れる季節だ。サイクリングロードの脇には赤黒い花穂が林立している。一仕事終えてほっと一息、静かにまどろんでいることだろう。正体を知らない人の目にあれは異様に写るかもしれないが。

じつは、小さなギシギシが花をつけていることがしばらく気になっていた。ギシギシが種を蒔いて枯れる草なら、小さい株が花をつけるのは変だ。きっと多年草で、花をつけながらも成長して行くのだろうと思っていたのだ。

しかしいくつかのギシギシを継続観察していると、どうやら花をつけると枯れることがわかってきた。小さな株で開花しているのは、何かの事故(草刈りとか)でリセットされた株なんだろう。


2024.6.7(金)晴れ 夏が来た

厚木風景

今日はコガムシを見に行った。この写真を撮った所のそばにコガムシが多産する場所がある。例年、田植えの頃に見物している。そして、もしかしたら大きなガムシとかゲンゴロウがひょっこり現れるんじゃないかと希望を持っている。その希望は年々薄れている。

この景色の見渡す限りのところに、ゲンゴロウもガムシもいない。確実に見たければ、奥にある山並みを越え、3つか4つの山脈の向こうに行かなければならない。自転車でちょっと行ってみるか、てなわけにはいかない。

ゲンゴロウもガムシも戦後まもなくまでは日本人のよき隣人だった。でも稲作のやり方をはじめ社会の環境が変わるといなくなった。移動力が高くて特殊な環境が必要な虫の絶滅は早い。たぶん死ぬまで私はゲンゴロウもガムシも見ることはないだろう。暗澹たる思いだ。子どものころにギリギリのところでナミゲンやガムシの元気な姿を見られなかったのが心残りだ。パンダやオカピが絶滅しても、まあいいよなと思う。それらは私にはミッキーマウス程度の価値しかない。

おそらくウナギはまもなく絶滅する。早ければ私が生きている間にそうなるだろう。物心ついたときに身近にいて、かわいがったりいじめたりした虫がいなくなるのは悲しい。すでに何種かでそういう目にあってきた。次はウナギか。

今年はまだコガムシが見つからない。私はここのコガムシがどこに産卵してどこで蛹化しているのか、その生活を具体的には知らない。たぶんあの水田だというアタリはついている。この生息地は首の皮一枚でつながっているのは確実だ。ゴルフ場とか水田のちょっとした気まぐれで彼らは絶滅する。

ジャイアントコーン(黄色)を食べながら、そんなことを考えていると視界にトンボが入ってきた。ウスバキトンボだ。今年初めてお目にかかる。優雅に風に乗って虫を狙っている。ウスバキトンボほど親しい虫はいない。私にとって夏そのものだ。南風の強い日が続いているから一気に南からやってきたのだろう。今日は単独だったが明日からはほうぼうで見つかることだろう。

著名なGという虫なら文明が滅ぶと一緒に消えてしまう。日本人と一蓮托生だ。ウスバキトンボが日本列島から消えるようだと、日本人は滅ぶ。だけどウスバキトンボは我々がどうなろうと日本列島から消えることはない。夏になれば必ず群れ飛ぶのだ。そう思って気分が軽くなった。


2024.6.12(水)晴れ 消えたメダカ

庭のスイレン鉢にボウフラがわいた。私はヒトスジシマカが大好きで毎朝血を吸わせているほどだが、家の者は嫌っている。スイレン鉢がなくても、そのへんの雨水溝とか、無数にボウフラがわく所は無限にある。

ともあれ、スイレン鉢の評判が落ちるのを避けるべく、ボウフラ退治にヒメダカを10匹入れた。入れた日は機嫌良く泳ぎ、しきりになにかをついばんでいた。狙い通りだ。翌日も元気に泳いでいた。ボウフラもぜんぜんいない。これで一安心。できれば冬まで繁殖しながら番犬ならぬ番魚としてがんばって欲しいと思った。

ところが異変は早くも3日目に起きた。様子伺いにスイレン鉢を覗くとメダカが1匹もいない。スイレン鉢にはセリなんかがボウボウに茂っており、その中に隠れているのかもしれない。ただ、メダカの生態として隠れっぱなしはない。2分も眺めていれば開けたところに出てくるはずだ。

まずは死んだのだと思った。ただ死骸がない。浮いてもいないし落ちてもいない。念のために飛びだしたのかと周辺を探っても死骸はない。さて何が起きたのか。

外敵に襲われることも考えにくい。第一、スイレン鉢が荒らされた気配がない。カワセミのように巧みな捕食者でも飛沫は残るはずだ。

もし食われたとなれば、私が唯一想定できるのは蛇だ。ヒバカリなら闇に紛れてやってきて、10匹のメダカなんてすぐに食ってしまうだろう。痕跡だって残さない。

ヒバカリの仕業であれば、これほど嬉しいこともない。この砂漠のような住宅地にヒバカリがいるわけないけど。


2024.6.13(木)くもり 見逃していたギシギシ

ギシギシ

昨日、目久尻川で新たに水中ギシギシを見つけた。付近のオオカワヂシャがきれいで眺めていると、写真の株が目に入ってきた。状況からみて1年間見逃していた株だ。迂闊だった。必ずチェックしている三又橋と定期観察している所との中間地点にあって見逃しやすいところではあるが。

すぐに水中実生ということもわかるし、花の付けかたもこれまで観察してきたタイプとは違う。ちょうど開花したところのようだが、これがひこばえからの開花のようだ。本体はすでに枯れて大半が融けて流れている。おそらく花は絶妙なタイミングで本体から茎を伸ばした部分についたのだと思う。

こうした推理はできるけれど、もっと早く去年のうちに見つけておれば確実な知見が得られたかもしれない。残念だ。

三又橋の個体はちょうど1年のサイクルを全うした。水中実生、水上開花結実の標準的な成長だと思う。その記録がしっかりとれたのは今年の成果だ。

その一方でミスもあった。4月に見つけた上流の水中実生は、一時順調に生育するかと思えたが、大半が姿を消している。そして、その場所もノーマークだった。

これまでの経験で、ギシギシの水中実生は梅雨明けの7月末頃だろうと予想がたっている。先入観を捨て目久尻川をチェックしたい。


2024.6.15(土)くもり ヤマノイモの技

ヤマノイモ

庭のヤマノイモはカンダタとよばれている。とにかく上昇志向の塊で、日々上に上にと伸びている。いまは葉を出すこともなく、上に上がることしか意識にないようだ。

上に上がるためには何でもからめとる。自分の茎であっても、同胞の茎であってもからめとる。茎は丈夫でかなりの長さまで垂れ下がることがない。写真のヤマノイモは1mほども離れているジューンベリーの枝をからめとった。

ジューンベリーの枝は不安定だ。細くてよく風に揺れる。よくもまあこんなものをからめとったものだと感心しきりだ。

今年はヤマノイモがジューンベリーをつたうのを許可していない。すみやかに外すべく脚立を持ち出して枝をたぐり寄せた。ヤマノイモの茎はジューンベリーの枝をしっかり巻いていた。この24時間内での仕事だ。

その巻き方をみるに、ヤマノイモのやつは茎を大きく振りながら何かつかまる物を探している。手がかりを探り当てたら、大きく振るのをやめて、茎をねじる動作に移行する。そして触れた物をしっかり巻き込む作戦のようだ。けっこうな技だ。


2024.6.16(日)くもりのち晴れ ジョロウグモの災難

ジョロウグモ

写真のジョロウグモは庭のツツジに巣をかけている。5月26日に発見してから定点観察している。

今日はちょっとした異変に気づいた。左の4番目の脚がなくなっている。巣を張るにしても、獲物を捕まえるにしても大事な脚だ。これぐらいでしょげたりはしないことは知っているけど、受難にはちがいない。

ジョロウグモの脚がもげるのはまれなことではない。最大の原因は種内の闘争だと思っている。ただこいつの近くには0.6mほど離れてもう1頭いるだけで、両者とも巣を争う形勢はない。お互いに自分の領分を守ってそれなりにいい暮らしをしているようだ。

ジョロウグモ

おそらくは・・・と巣を探せば、脱皮殻がかかっていた。ジョロウグモは習性として、巣のゴミや脱皮殻を補強用?の糸に架けておく。その脱皮殻を見れば8本の脚がある。脚は脱皮の後にとれたことになる。予想通り脱皮の失敗だったのかもしれない。

このジョロウグモは3齢になる。まどいで1回、ここで1回の脱皮をした。クモの仲間には脱皮で脱落した脚が再生するものもいるけれど、ジョロウグモでは確認できていない。再生しないという状況証拠はいくつか見ている。こいつがうまく成長してもう1回脱皮することがあれば状況証拠を1件追加することができるだろう。むろん、再生を見たいというかすかな願いはあるけれど。


2024.6.17(月)くもりときどき晴れ わけがわからないジョロウグモ

ジョロウグモ

昨日、7本脚になったことを確認したジョロウグモが行方不明になった。写真のように、その巣は獲物の亡骸を残して空き家になっている。巣の状況から見て鳥がぶつかってきたとかの事故ではない。

解せないのは、垂直円網が撤去されていることだ。ジョロウグモは他の巣を乗っ取ったあと、元々あった垂直円網を撤去する。そうしたことが起きていないのに、垂直円網だけがなくなっている。まさか、巣の整頓をして引っ越した・・・のではあるまい。もうわけがわからない。

ジョロウグモ

それなら隣のはどうかと0.6m離れた個体を見れば、脱皮し終わっていた。こちらは順調だな・・・とよくよく見れば、7本脚になっている。行方不明のと同じ左第4脚を失っているのだ。もしや、行方不明の個体がこの巣を乗っ取ったのか? それも脱皮直後に? そんなタイミングはあるまい。普通に脱皮の失敗だろうが・・・わけがわからない。

ジョロウグモ

ともかく、行方不明者が見つかれば事は解決と、ツツジを探していると、空き巣の下の方のブラインドになっているところでジョロウグモが見つかった。これは8本脚なので、行方不明者ではない。場所的にノーチェックの所だから新発見個体だろう。

ジョロウグモ

さらに探索を進めていると、小さなジョロウグモらしきクモが見つかった。ジョロウグモなら2齢のサイズだ。新たに近所から飛んできたのかもしれない。少し遠目でもあるので慎重にピントを合わせて撮影した。パソコンモニターで見ればジョロウグモかどうかがわかる程度の画質は欲しい。

その写真をモニターで見て、あっと驚いた。巣にかっこいい虫がかかっている。糸で巻かれてはいないから、大きくて餌に適さないのか、かかったばかりなのか。ともかく、この虫は初見だ。

ピンぼけだから撮りなおそうと、タムキューニコンを手に庭に出て探したが見つからなかった。探索場所は広くはないのに、巣も虫も見つからない。証拠写真はあるので幻ではない。なんでこうなるのか解せない。かっこいい虫はシロズヒメヨコバイあたりだろうか。次の出会いを期待しよう


2024.6.21(金)雨 楕円の焦点

楕円の焦点

相変わらず楕円のことがふと頭に浮かんでくる。今度は焦点の問題だ。図にあるような楕円で、焦点1から楕円周に向けてレーザービームを放つと、その光は反射して焦点2を通るやいなや? という問題だ。

こういう楕円の性質は50年ほど前に目にしたような気がする。そもそも焦点というからには、そういう光学的な秘密があるようにも思う。

その証明をしたいのだが、これまでの暗算で今日の図を描く所までは到達している。楕円の焦点の求め方は、もうわかっており、楕円に外接する円を描けば作図もできる。いまの問題は、図の赤線で示したように2つの焦点と周上の点Pを結ぶ線を考えたときに、点P上の接線と赤線が作る角度αおよびβが同じになることを証明すればよい。

ここからの問題は、私の数学力だ。私には凡庸な大学受験生程度の数学力しかない。「好きこそものの上手なれ」と係り結びの法則までつかって言われるように、楕円は好きだ。好きだからこそ、その焦点の求め方がわかったのだ。だが、楕円に接する線との角度なんて、どうやって探ればいいのか、手がかりすらしらない。

図の点Pはアスファルトのマンホールからヒントを得て焦点を求めたときの点で、ある意味特異点ではあるが、この場所なら円との関係でなにかつかめるかもしれないと思った。それで作図して検討を進めようとした。

その思いつきは、「レーザービームの線(青線で示した)の予想は楕円だけでなく円でも成り立つのではないか?」というものだった。しかしこうして半分フリーハンドの作図をしてみただけでも、それはないなということがわかった。もっともっと細長い楕円を考えてみれば一目瞭然だ。その一方で、楕円ならばどんなに細長くしてPを作っても成り立ちそうな気がする。


2024.6.26(水)くもり晴れ一時雨 7本脚の脱皮

ジョロウグモ脱皮殻

観察を続けているジョロウグモが脱皮していた。これは17日に7本脚になっていることを確認したやつだ。17日がさきの脱皮だとすると10日もたたずして脱皮したことになる。いくらなんでも早いのではないか?

17日には0.6m離れた7本脚が行方不明になっていたこともあって、じつはこれがその行方不明個体ではないか? という疑念も持っていた。もしかしたらそれは当たっていたのかもしれない。

ジョロウグモ脱皮殻

こちらは定番の所に残されている脱皮殻。7本脚が確認できる。このジョロウグモは7本脚のまま殻を脱いで、7本脚として巣に鎮座しているのだ。私はジョロウグモの欠けた脚は脱皮で復活するのかもしれないという淡い期待をもっている。しかし今日はその否定的な状況証拠を1つ積み重ねることになった。


2024.7.6(土)晴れのち一時雨 7本脚の脱皮2

ジョロウグモ脱皮殻

観察を続けているジョロウグモがまた脱皮していた。前回の脱皮確認は6月26日だ。ということは10日で脱皮したことになる。前回には10日ほどで脱皮するのは期間として短いと思ったが、適正だったようだ。これで4齢の子虫になったことになる。

写真にあるように、やはり7本脚のままだ。むろん脱皮殻も7本脚だ。7本脚のまま2回の脱皮を経たとなるともうジョロウグモの欠損した脚は脱皮で復活することはないと結論せざるを得ない。かすかな希望は持って観察を続けるけれども。


ジョロウグモ脱皮殻

さて、楕円の焦点から周に向けて放ったレーザービームは反射してもう一方の焦点を通るのか? という問題は一段の進歩があった。どうやらその予想は正しそうだという目処がたったのだ。

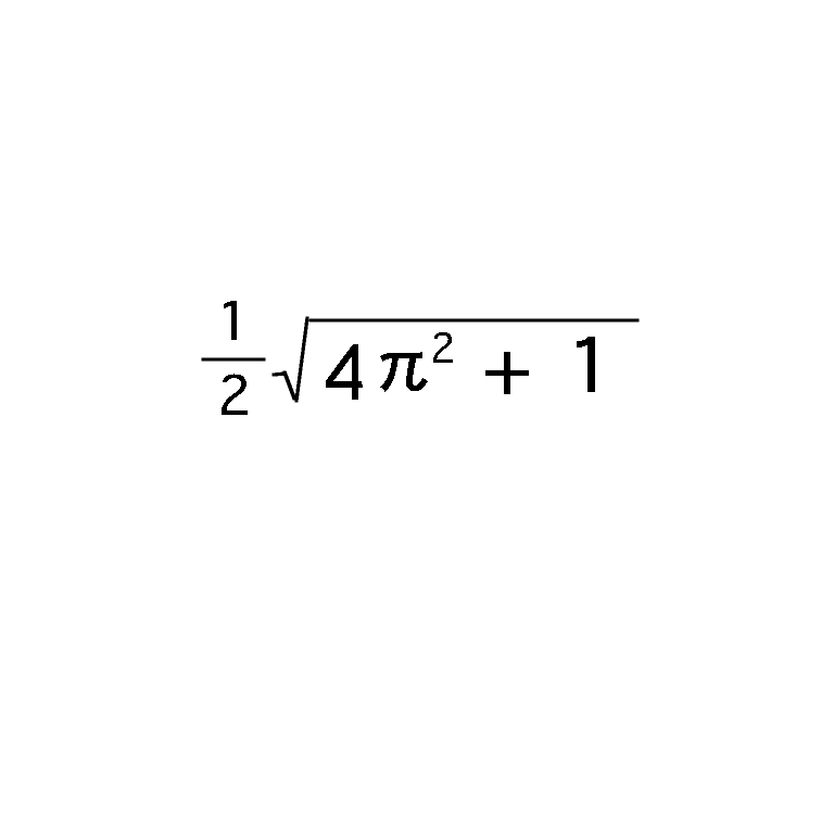
検討に用いたのは今日の図。焦点がx=√2/2になる楕円なら計算しやすいと思った。外接円の半径が1なら、その真ん中あたりに焦点がある楕円なら簡単だと思ったからだ。

問題になるのは、円の周上にある点Pを通る接線と2つの焦点を結ぶ線分でできる角α、βが等しくなるのかどうかだ。ちなみに、Pを通る接線は外接円の接線とx軸の交点を共有することはすでに証明済みだ。

考えぬいているうちに、角α、βを求めることは無理でも、sinα=sinβならいいじゃないかと気づいた。なかなかの閃きだ。ここまでくれば、デカルト座標と三平方の定理の問題だ。私の数学力でも太刀打ちできる。

夜中に布団のなかで暗算していると、図の青い接線はy軸と(0,1)で交わり、青線ともう一つの焦点を結ぶ線が直交する赤線もなんと、(0,1)で交わることがわかった。これには驚いた。こうなるとsinα、sinβは簡単な数学で求められる。

もう閑さえあれば頭の中に図を描いて暗算する日々だ。かれこれ20時間ぐらい考えたろうか。そして昨夜、解答を得ることができた。念のために紙と鉛筆で計算してsinα=sinβが形になった。こうなるとP(a,b)でもこれが成り立つのかどうかやってみることだ。なんだかできそうな気はするのだが、暗算でやってると神経衰弱になりそうなので、最初から紙と鉛筆を用意することにした。


2024.7.10(水)晴れ ミミズ

 ミミズ道路

境川の脇に干からびたミミズが散乱している道路がある。R246のすぐ上流で右手は中古車販売店になっている。ミミズの死骸は写真に写っている範囲からさらに先、次の橋まで続いている。幅1mの間に20頭ほどいるから2000匹ぐらいになるだろうか。境川サイクリングロードはこの2日で全域を走ったが、こういう所は他にはなかった。

ミミズが大量に道路で死ぬのは珍しくない。自転車で走っていると普通に見かける光景だ。とくに雨の日、雨の上がったあとなんかはミミズを避けて走るのに気を使う。半原越では、100匹が折り重なっているのを見つけ、気味が悪くかわいそうなのですくって谷側に転がしたこともあった。

しかし今日の写真のような光景ははじめてだ。見た感じでは一時にミミズが出てきた様子ではない。ここ最近は雨が少ないが降ればザッと来る。降って乾いてを繰り返して道路一面にミミズが散乱してしまったのだろうか。

そもそもここはミミズの生息に適した場所とはいえない。右手は駐車場や建物と道路との間に狭い雑草広場がある。左手はコンクリ護岸までの狭い範囲だけが雑草とミミズの生息地だ。よくもまあこれだけのミミズが生息できたもんだと感心する。

こうしたミミズは虫や鳥の食べ物になる。相模川では土手道に転がる大きなミミズの死骸をトビやカラスが食べに来る。どうもこの場所はその手のスカベンジャーがいないらしい。


2024.7.11(水)くもり一時雨 ジョロウグモの引っ越し

ジョロウグモ

写真は9日のもの。観察を続けているジョロウグモの巣にヤマノイモの茎がかかっていた。茎が風にゆれると巣もゆれる。明らかにジョロウグモは迷惑そうだった。

ジョロウグモ

どうするかな?と思っていると、24時間後には50cmほど離れた所に巣を構えていた。7本脚で不自由ながらしっかり垂直円網ができている。

ジョロウグモ

そして48時間後の今朝には、すっかりジョロウグモらしい巣の体裁になっていた。首尾良く小さい蛾らしき獲物もかかっていた。

ちなみにもとあった巣は跡形もなく消えている。これまでにもジョロウグモが巣を片付けたという状況証拠はいくつか見てきたが、その現場に立ち会ったことはない。夜間に行われるのだろうか?糸は食べてしまうのだろうか? いろいろ知りたいことはあっても実現しない。ただのずぼらだ。


2024.7.13(土)晴れのち雨 ヤマイモハムシ

ヤマイモハムシ

今年はヤマイモハムシの食害がひどい。ヤマノイモの成長よりも食害が勝っている感じだ。成長が止まった茎も何本かある。

とはいえ、ヤマノイモは虫のために保護指定しているのでヤマイモハムシが来るのは狙い通りともいえる。本当はVIPのキイロスズメ用なのだが来ないものはしかたない。

ヤマイモハムシの食害のおかげで発見もあった。食害されている葉を見れば、2タイプの食痕が確認できる。穴を開けるものと表面を削るものだ。ヤマイモハムシが葉や茎に穴を穿つのは確認済みだ。では、葉を削るのは何者だろう?

葉上の虫としてはヤマイモハムシしか見つかっていない。では、ヤマイモハムシは実は2タイプの食痕を作るのか? それはなさそうだから、ヤマイモハムシの幼虫が葉を削るのか? そう推理して探しているけど幼虫が見つかっていない。

もしやヤマイモハムシとは無関係な虫が夜中にこっそり現れて食べているのかもしれない。簡単そうなことも調査しないと答えは見つからない。


2024.7.16(火)雨 ウスバキトンボ

ウスバキトンボ

窓の外にウスバキトンボが止まっていた。夕刻になって降りしきる雨の中でじっと動かない。このまま眠りにつくのだろうか。

トンボの中で一番好きなのがウスバキトンボだ。たくさんいて、こんな所にもやってくる。過去、一度だけねぐらにしたことを覚えている。あのときは、シオカラトンボとウスバキトンボが並んで枝に止まっていた。

これ幸いと撮影を続け、6時近くなると雨脚が強くなった。ウスバキトンボは雨が苦痛ではないようだ。ときおり目についた雨滴をぬぐう仕草を見せている。

近年のデジタルカメラの進歩は驚くべきものがある。ネットではウスバキトンボの飛翔カットが普通に出回っている。うわさではそんなカットがフルオートでものにできるらしい。数が多くホバリングもするトンボとはいえすごい。私の手持ちの機材では無理なのだ。心の中で「撮ったからってなに、そんな高機能、高性能は必要ないよ」と強がっている。

それでもこんな暗がりで望遠レンズを使ってトンボを雨脚といっしょに撮れるのはうれしい。今日の写真もフィルムだったら無理だったろう。やはりここまで撮れるとうれしい。ちょっと奮発して中古のNikonD700を買っておいてよかった。

6時15分、雨が止むとウスバキトンボはどこかに飛んでいった。


2024.7.21(日)晴れ ヒメグモ

ヒメグモ

ジョロウグモと卵を守るササグモの間あたりにヒメグモとおぼしき小さなクモが巣を構えている。今日はちょっと変なことになっていた。

写真にあるように枯葉が一枚かかっているだけなのだ。クモはどこに行ったのか? 巣の様子を見る限り事故ではないようだ。

ヒメグモ

この巣は定期観察の対象だ。昨日はこの写真のようだった。ヒマラヤスギの枯葉がかかりそばにクモがいる。このクモは自分の陣の側に枯葉を架けておく習性がある。そういうふうに何年か見てきた。

今朝、本体が見えなくなったのは、ヒマラヤスギの枯葉よりもいい枯葉をゲットしたものだから、ヒマラヤスギを外してこの葉にしたのだと思う。「見えないだけで、うまく葉に隠れている」に1000点賭けよう。


2024.7.22(月)晴れ 積乱雲

積雲

境川を自転車で走っていると前方に雄大積雲があった。夏場には北に雲の塔が並ぶことが多い。今日は一つだけだが、そのボリューム感と濃さから、これは積乱雲になると予想できた。方角と距離からして場所は八王子あたり、15分程度で吹き上がるだろうと思った。12時半のことだ。

積雲

最近はドップラーレーダーの解析画像で積乱雲の動きを正確かつ手軽に把握できる。確認のために携帯しているスマホでtenki.jpを開いた。

予想は違っていた。方角はあっているけど、場所は奥多摩から秩父にかけての山岳だ。50kmほど離れている。八王子の2倍だ。雲のサイズが大きくて距離を小さく見誤った。

成長予測はぴったりで15分もたつと入道雲は吹き上がって上空に巻雲が広がった。

積雲

最高潮は1時間後のことだった。金床は見事に広がってきのこ状になっている。しかも乳房雲的に垂れている。1万メートル上空の暴風が如実だ。この吹き上がりは2度目のもので、最初の倍ぐらいのサイズ感だ。こりゃ雲の下は大雨だ。

積雲

スマホで場所を確認すると今度はぴったり八王子だった。サイクリングでも頻繁に出かけるところだ。境川では南の風が吹いているが、上空は北東の風が吹いているらしい。雲は南東へ流れている。1時間で25キロほど移動したとすると自転車並みのスピードだ。

帰宅するころ、巻雲がすっかり開いて成長は止まっていた。ちょうど真上に巻雲の端がある。本体は町田上空で雨は落ちてこない。遠く雷鳴がしていた。


2024.7.28(日)晴れ 巣網の新築

ジョロウグモ

朝、庭に定期観察に赴けば、ジョロウグモに異変が起きていた。巣を新調していたのだ。26日まで定位置は脱皮殻を背負うかっこうだったのが、逆になっているので気づいた。

写真では表現できないけれど、垂直円網の場所が30cmほど移動している。足場糸が新しく張られている。そして不定型の補強部分とよんでいる背中の網も新しく造られて、ヤブガラシの落花がかかっている。

なんらかの事故で巣が壊れて作り直すことはあるかもしれない。11日にはヤマノイモの蔓が垂れかかるのが嫌らしく巣を新築している。しかし今回は私が見ている限りでそれはなかった。かつての補強部分はいまだ無傷で残っており、古い垂直円網だけが撤去されている。状況としては古家に飽きて更地にして新築という案配だ。

私はずっとジョロウグモ♀は一度作った巣は壊れなければ増改築して使い続けるのだと思っていた。どうやらそれも素朴な思い込みに過ぎなかったようだ。


2024.7.29(月)晴れ カメムシとマムシグサ

積雲

庭のマムシグサ(種は不明)がすっかり枯れた。春に芽を出して夏に枯れるのは毎年のことだ。これで今年は見納めだ。また来年芽吹くかな、などとぼんやり思いつつ葉をめくって根元の茎をみると、そこにカメムシがたかっていた。

おそらくツマキヘリカメムシだと思う。これは庭に多いカメムシでヤブガラシやムクゲなどでよく見ている。

長らく不注意してたのだろうか、マムシグサでは初見だ。葉がすっかり茶色く枯れたマムシグサにたかっているのだから、物好きというかよっぽど愛好しているのだろう。

一方のマムシグサのほうはここで寂しい思いをさせている。何かの間違いで山梨から運ばれたのは確実で、私の庭での生活は不本意だろう。この数年立派な葉を広げ、例の特徴的な花をつけているものの、種が熟すことはなく葉に先駆けて枯れていく。近所にはマムシグサがいなくて受粉できないのだ。

大好きなマムシグサだけに少し心が痛むこのごろである。


2024.7.31(水)晴れのち雨 鳶尾山とウスバキトンボ

鳶尾山

鳶尾山は登りの練習をするのに最適な場所だ。木々がうっそうと茂り夏でも涼しい。静かで集中して走ることができる。

ちょうどタマアジサイの季節をむかえ、例年撮影している株はつぼみが大きくふくらんでいた。これまでノーチェックだった橋の株に開花寸前のつぼみがあった。標高がちょっと低くて日当たりがよい場所なんで若干早いのだろうと思った。もしや花があるかもと探れば2つばかり見頃の花が見つかった。ただし花は崖下にあり近づくことはかなわない。

いまはもう登りのタイムを短縮しようという野望はすっかり消えて、上手に走ることに集中している。今日は26×21Tを使って、上死点の蹴り出しおよび下死点での踏み込み+引き足、全ての技をまんべんなく使う練習だ。

標高差50mほどの短い区間を3回4回と登るうちにコツがつかめてどんどん楽に速く登れるようになる。あと5本ぐらいやろうかと登っていると、ヒグラシシャワーに包まれた。「雨が来るよ、降るよ」と鳴いている気がする。いつの間にかあたりは暗く風はないが気温が下がっていた。夕立は冷たい。

この辺で切り上げようと5回登って早々に逃げることにした。帰りは中津川のほうに降りて南東に向かえば、雨脚につかまることもないだろう。

中津川縁の道に出て、開けた所から空をみると雲が真っ黒だ。少し急いで田んぼの間を走っていると、青い稲の上空をウスバキトンボが舞っている。雲から降りる風に向かってホバリングする格好だ。数が多い。近年はウスバキトンボの密集する群れを見ていない。慌てて雲から逃げているとはいえ撮影は必須。ただし状況が悪い。背景には暗い林があっていいのだが、太陽光がなくトンボの姿が浮きあがらない。群れとしては写せないシチュエーションだ。

ウスバキトンボはいいカットにはならなかったなと、先を見れば、女子高生の後ろ姿があった。近所に高校はなく通学路のはずもない所だ。何かのわけありなんだろうと、自転車を進めると、その娘はスマホを撮りだして撮影を始めた。被写体は明らかにウスバキトンボだ。珍しいコンビもあるもんだ。JK+ウスバキトンボ。


2024.8.3(土)晴れ 7本脚の脱皮4

ジョロウグモ

観察を続けているジョロウグモがまた脱皮していた。前回の脱皮確認は7月19日だ。2週間ほどで脱皮したことになる。これで推定6齢の子虫になったことになる。

脱皮してもやはり7本脚のままだ。脱皮殻でもしっかり7本脚が確認できる。さすがに7本脚のまま4回の脱皮を経たとなるともうジョロウグモの欠損した脚は脱皮で復活することはないと結論しよう。


2024.8.6(火)晴れのちくもり 絶滅危惧種

オンブバッタ

今朝、庭でオンブバッタの幼虫が見つかった。今年はもうダメかと思っていたからちょっとうれしい。

オンブバッタはそのへんの草むらではいくらでも見つかる普通種だ。境川の用水路脇には成虫、終齢幼虫がたくさんいる。ちょうど羽化の盛りなのだ。

私の庭でも20年あまり普通種であり続けていた。普通種どころかちょっとした害虫ですらあった。スイレン鉢でアサザを育てていた頃は、どういうわけかオンブバッタがアサザを好んでぼろぼろに食い荒らしていたものだ。

それが去年からぐんと少なくなった。南側の庭では、例年梅雨が明ける頃に小さいのがいくらでも見つかっていたのに、それがいなくなった。そのかわりに北側のほうでぽつぽつと見つかるようになった。もともと北側には少なかったのだが。オンブバッタはいまや絶滅危惧種である。

私の庭では大量にいたはずの普通の虫がけっこう絶滅している。ヒキガエル、マイマイ、ナメクジ、アオオサムシ、ケバエ、クロオオアリ、カマドウマ、ハナグモ、アズチグモ、ジグモ、ビロードツリアブなんかの大型のアブ、コガネムシ類も庭で世代をつないでいるとは思えない。ちょっと思いつくだけでもこんな感じで、まだまだあるだろう。

これらは皆、まさかいなくなるとは思いもしなかったやつらである。多少迷惑でもいなくなると寂しい。

いなくなった原因はいくつかあるだろう。けっして豊かではない庭だから、回りから来るやつも多かったろう。それが周辺環境の悪化で供給されなくなったことはある。モグラが入ってきてコガネムシ類を食い尽くしたこともあったようだ。ほかにも私には見えない庭の環境変化があるはずだ。

さて、ちょっとうれしいオンブバッタの登場であるが、終齢と思われる幼虫が1匹だけだ。小さなやつらは見ていない。アカマンマやオオバ、セリなどのやつらが好んでいた植物に食痕がない。こいつは近所から歩いてやってきた公算がでかいのだ。どうやら移動は少ないバッタのようなので絶滅のおそれが高い虫であることはかわりない。


2024.8.19(月)晴れ ツマグロヒョウモンの死

ツマグロヒョウモン

高く伸びたヨモギにオスのツマグロヒョウモンがかかっていた。遠目にもその様子は尋常なものではなかった。おそらくカマキリの補食にあっているのだろうと、近付いてみれば何者かに捕まっているのではなかった。

ツマグロヒョウモンはとっくに事切れており、ヨモギの葉に突っ込む形で架かっている。腹は原型をとどめて脚も頭も残ってチョウのパーツはしっかりしている。カマキリ等の捕食による死ではないようだ。大きな外傷はもげかかった首だ。ただし、アリの分解作業がたけなわで、アリの仕業かもしれない。

ツマグロヒョウモンは翅の破れ具合からそれなりに戦ってきた個体だと想像できる。その死因も不明なら、ヨモギに不自然に架かった原因もわからない。推理の手がかりがない。解明が全く期待できない謎だ。


2024.8.21(水)晴れ 庭のカナヘビ

カナヘビ

わが家にはカナヘビが多い。トカゲはいないがカナヘビは20年前からずっといる。このカナヘビがオンブバッタなどが減少している一因ではないかと思う。

数年前までは、尻尾のとれたカナヘビが多かった。半数以上に及んでいたと思う。尻尾が切れるのは外敵に襲われるからだ。その敵はイエネコらしい。去年からイエネコの徘徊が止まり、尾の切れたカナヘビがいなくなり、数が増えた。いまやわが家の食物連鎖の頂点に君臨しているのがカナヘビなのだ。

多数のカナヘビを養うには餌が必要だ。オンブバッタとか徘徊性のクモなんかは良い獲物だろう。そうだとすればオンブバッタの絶滅はいたしかたない。

庭にはワラジムシ、ダンゴムシ、モリチャバネゴキブリ、ミミズなど陰湿系の虫が豊富だ。それらが減少しないように手をかけてもいる。やつらを食えるようならカナヘビが絶えることはないだろう。


2024.8.28(水)晴れ モンクロシャチホコの孵化

モンクロシャチホコ

今朝、モンクロシャチホコ幼虫の群れを見つけた。ジューンベリーの葉一枚にびっしりだ。ざっと200頭というところ。昨日の昼頃にはこの様子が見られなかったので、夕方から朝にかけて孵化したのだろう。

おそらくこれは2〜3発目だ。今年はすでにモンクロシャチホコの幼虫は発生しており、ジューンベリーの葉を集団で食いまくっている。今年はたまたまスイレン鉢の直上に卵が生まれていたらしく、幼虫の糞で水が黒く変色していたため早期に気づくことができた。例年、モンクロシャチホコの幼虫に気づくのは、秋の始まりに糞が大量に落とされてからのことだった。

去年までモンクロシャチホコはどこに産卵するのかがわかっていなかった。こうして一枚の葉に孵化したばかりの幼虫が集まっているということは、モンクロシャチホコは葉にかためて産卵するのだろう。枝に産みつけるのではないかという気もしていた。葉だと別種の虫に食べられてしまう危険がある。現にこの葉には食痕がついているのだから。

モンクロシャチホコの生活がまたひとつ明らかになった。幼虫は秋に木を降りて地面で蛹化し、翌年の夏に羽化して葉に産卵する。私のジューンベリーに定期的に発生するとなると、生まれた木にこだわるのかもしれない。


2024.8.29(木)くもりのち雨 毛虫とアリ

モンクロシャチホコ

モンクロシャチホコはすでに終齢までに成長しているものがいる。昨日から今日にかけて孵化(もしくは脱皮)したらしい幼虫も多数いる。総計でざっと1000頭を越えているはずだ。こうなるといろいろ先行きが不安になる。順調に育つことができればの話だが、遅く孵ったやつらはここまで成長する前に飢え死にする恐れがあるのだ。

モンクロシャチホコ

こちらの群れは今朝8時ごろに発見したもの。おそらく昨日孵化したものだ。体が赤く毛は目立っていない。この状況から察するに画面右の葉に産まれていた卵からの孵化組だろう。それらが左のほうの二つの葉に移動して暴食が始まる。まだ葉に口をつけていない。

ただし彼らにはすでに危機が迫っている。画面左端の枝にピンぼけで褐色の点々が写っている。これはアリの群れ。すでに1頭の幼虫が餌食になっている。このアリは強力な捕食者でアシナガバチの巣を何度か壊滅させている。

モンクロシャチホコ

正午前に様子をうかがった。おどいたことに毛虫が葉からぶら下がっている。どうやってこんなことになったのか、その経緯を見落としたのがちょっと残念だ。3〜4列になっているところをみると、めいめいが糸を出してぶら下がったのではない。下がっている糸に葉上からどんどん毛虫が伝って降りるかっこうだ。逆カンダタといえよう。

モンクロシャチホコ

糸を垂らしたのはアリから逃げるためだ。確認できるだけでもう数頭が犠牲になっている。この写真では葉の先の毛虫がアリの群れに食われている。アリの数は少ないと感じた。アシナガバチを襲っているときは、血に飢えた群れという熱気がむんむんしてたものだ。高い木の上というのがモンクロシャチホコには幸いしているのかもしれない。

アリは糸を伝わないようで、ぶら下がっている分には捕食を免れるようだ。ただしいつまでそれを続けなければならないのか、糸は毛虫の重さにいつまで耐えられるのか、目の離せない状況になってきた。

モンクロシャチホコ

1時間ほど観察していると状況が急転回した。毛虫たちが糸を伝って葉に戻りはじめたのだ。

ちなみに今日は九州にある台風の影響で神奈川のこのあたりでも午後から雨予報だった。それが見事に的中して正午すぎにぽつぽつ雨が落ち始めている。

雨に合わせたかのようにアリがいなくなった。アリは一般に雨を嫌うものだ。まだ本降りではないのに大雨を察知してハンティングしているアリたちが退避をはじめたのか。それとも、お腹いっぱいになってひとまず帰宅となったのだろうか。ともあれ攻撃は止んだ。犠牲者は4〜5頭というところだ。

モンクロシャチホコにしてみればひとまずの危機回避。毛虫たちはアリが去ったのを察知したらしく葉に戻りはじめている。

モンクロシャチホコ

雨はすぐに土砂降りになった。糸の上のほうにいた毛虫は速やかに葉に戻ることができている。これは私にも経験がある。綱登りでは手と足を使えばスムーズに登ることができる。綱の先端にいて足が使えず、手だけでたぐり寄せるようだと難易度は桁外れだ。

その困難を最下部にいる毛虫も味わっているようだ。状況から察するに真っ先に糸を吐いて葉から降り、仲間の逃げ道を作ったヒーローだ。なのに危機が去ると仲間はさっさと戻ってしまった。上から糸を引き上げ助けてくれるはずもない。孤独な戦いの始まりだ。

モンクロシャチホコ

雨粒は体の毛に溜まって重い。風にあおられ足場は不安定。糸をたぐる力はどれほど残っているのか。糸が切れる恐怖はないのか。幸い雨風は10分ほどでおさまってはいるものの、毛虫の上昇は遅々として進まない。10分20分と時は進み必死と見えるあがきが続く。

モンクロシャチホコ

無事全員が葉に登り終えたのは、アリが去ってから1時間以上も経ってからだった。見物しているこちらもほっと一息ついた。

これからの道は決してたやすいものではない。群れの存在は恐るべきアリたちの知るところとなった。いつまた再攻撃がくるかもわからない。アリだけではない。シジュウカラが何頭かかっさらって行くところを目にしている。寄生蝿にも狙われるだろう。体を蝕む疫病が発生するかもしれない。この群れには餓死のおそれもある。


2024.8.31(土)雨・くもり・晴れ・雷雨 土

ヤマトシジミとアリ

ヤマトシジミのメスが奇妙な動きをしていた。その動きからすぐにチョウは死んでいることがわかった。翅は傷んでおり寿命が尽きたようだ。そしてその死骸をアリが運んでいるのだ。

ただどうもうまく事が運んでいない。アリはチョウを咥えて引きずるがすぐに頓挫する。チョウはお腹が大きく重い。足や触角が土くれにひっかかってしまう。一匹で運ぶのは難しいだろう。援軍は来ないがあきらめるには惜しい。咥え直してはがんばる。

この光景に思い出されるのが、三好達治の「土」だ。8月の終わり頃、小学生か中学生だった私は「土」の感想文を書いたことがあった。夏休みの宿題の読書感想文で課題は文学(小説・詩)だったから、「土」もOKである。私は読書家だが勉強はできなくて、短い詩なら宿題が楽というのが「土」を取り上げた理由だ。

むろん「土」は大好きだった。私はその詩を読む以前に、アリがチョウの翅を引いていく様子を「ああ、ヨットみたいだ」と思ったのだった。まさに「土」そのまんまだ。日本文学界屈指の詩人が私の感想そのまんまを描写していることがうれしかった。そして「サンキュー達治!」という、思いのたけを綴ったラブレター的読書感想文を提出した。

今日のアリはチョウをヨットのようにつんつん引いていくわけにはいかない。さしずめ風強く波高しというところか。3分ほどがんばっていると、腹の先っぽがぷっつりちぎれた。転んだアリは何が起きたかと驚いたが、すぐ我に返り腹の先を咥え揚々と歩いていった。


2024.9.2(月)晴れ 大雨の余波

セスジイトトンボ

久々に快晴の夜明けになった。庭に出るとまず見つかったのが、写真のセスジイトトンボ。神奈川のこのあたりでも珍しいものではないが、わが家には珍客だ。この20年余りではじめて見る。

イトトンボが世代を重ねるような環境はこの近くにはない。せいぜいが500mほど離れたゴルフ場の池だろうか。

台風10号で数日にわたり強い雨が続いた。イトトンボの生息地は撹拌を受けたろう。それで避難するついでに遠出してきたのかもしれない。

ムカゴ

庭のヤマノイモは育成種だ。むろん雑草だが、なるべく放置するようにしている。今年はやけにムカゴの生長が良い。写真のように大きなものができている。成長途上かと思われるのに、茎についたまま芽が出てきた。その1本はすでに青く支柱を巻いている。こちらも雨続きでその気になったのかもしれない。


2024.9.3(火)雨ときどきくもり フリーセル15万

フリーセル

Super Mac Freecellを15万個解いた。もともと10万を目標にやってきたのだから、思えばたくさんやったものだ。1998年からはじめて、10万解くのに20年以上かかった。そして最近の5万個は4年ちょっとしかかかっていない。倍速になった計算だ。

スピードアップしているのは仕事をやめフリーセルにかける時間が増えたことが主因だろう。おそらく一日30分から1時間はやってる。また腕も上がっているのだと思う。最近では、これ難しいぞというゲームに当たらない。ただし勝率は上がっている感じがしない。おそらく80%程度だろう。もっと勝率にこだわったほうがゲームとして楽しいのではないだろうか。

初期の動機が「Super Mac Freecellの解けないゲームを探る」というものだった。だから、失敗してもいいから数多く解いてきた。失敗を避けるにはそれだけ考えなければならない。その時間が惜しい。フリーセルは8割方は考えなくても解ける。それっぽいカードをクリックすれば20秒ぐらいで見通しがたつ。難しいゲームなら5分かけて解くよりも、3回間違えても2分で解くほうが効率的だ。

私はすでにSuper Mac Freecellは全て解けるように設計されてると踏んでいる。ならば、無敗の達人を目指すべきではないだろうか。ケアレスミスとか先を読むめんどくささに負けて当てずっぽうなクリックをして詰まってしまのでは達人とはいえない。難しいゲームをしっかり考え、先を見通して勝つ。そんな人間になりたい。でなければ、今やこのゲームをやる意味がないと思う。

そもそも私はこのゲームをやり過ぎている。カメラのデータをコピーする隙間なんかにやっているのだが、はじめるとついつい長くやってしまう。「3連勝すれば終了」というしばりを自分にかけたこともあったが、それを守れない。さくさく3勝すれば、簡単だから解けただけ、こんなんじゃダメと4つ目を開く。負けたら負けたで悔しくなって次は3つ勝つと、また1つ開く。そうこうするうちに区切りのいい数字になるまでやろうということになる。区切りのいい数字のゲームに負ければそこでやめるわけにはいかない。そんなこんなでやっぱりやり過ぎだ。


2024.9.4(水)晴れ 休耕田

涼しい北風が入って秋本番という風情。セミの声もどこか遠慮がち。今日もチネリで引き足の練習に境川に向かう。じつはちょっと寄っておきたい休耕田がある。

休耕田

これがその休耕田。撮影は一昨日2日。水面が広々してコナギなんかが生い茂っている。ここは去年は耕作していたところだ。これは何かいるかもしれないと自転車を止めて覗いてみた。

マツモムシ

たまげたことにマツモムシの群れがあった。久々にTG-5を水中カメラにして撮影。帰宅してパソコンモニターでチェックするといまいちグッドではない。思ったよりもよくは撮れているが、これは追撮だなと思った。ファインダーもモニターもなしの数打ちゃ当たる撮影だから、数打たなければならない。フォーカスブラケットも使った方がよかった。

昨日は雨で撮影には向かず今日になった。休耕田についてみれば、たくさんあった水がすっかり引いている。マツモムシはどうしているかと撮影ポイントに向かうとすっかりいなくなっていた。10cmほどあった水深が1cmになってはマツモムシの生息に適さない。どこかに飛んでいったのだろう。マツモムシの群れはちょっとした台風からのプレゼントだ。もっとたくさん撮っておけば良かった。

このあたりの水田にもう水はない。稲刈り直前でからからに乾いている。マツモムシの行き場もそう多くはない。この休耕田も大雨続きのにわか池だったのだろう。昨日の雨は本降りだったが水量を維持するまでには至らなかった。水稲耕作に依存している水環境は不安定なものだ。


2024.9.6(金)晴れ クロナガアリ

神奈川県のこのあたりでも稲の収穫が始まっている。それならばと昨日私のほうでも相模川でセイバンモロコシの種を集めてきた。夏の草刈りをまぬかれたセイバンモロコシはしっかり種をつけている。背伸びしてやっと手が届く高さの穂には黒光する種がついている。すでに半分ほど落としている株もあった。

クロナガアリ

今朝、庭のクロナガアリをチェックした。巣口を覆い隠している草をかき分けると写真の様子が目に入った。カボチャみたいなのはモンクロシャチホコの糞だ。どうもクロナガアリはその糞が食べられるとふんで集めたらしい。これははじめて見る。

糞が食べ物になるのかどうかはわからない。継続チェックしたい。糞にまじってダンゴムシの死骸も運んで来ているが、うまく事が運ばない。巣口に糞が積み重なって運び入れることができないのだ。大きい獲物がつかえる状況は幾度か見ている。こいつもすぐにどうにかするんだろう。

さあクロナガアリの季節が到来だ。急ぎ準備を始めなければ。まずはスーパマクロのカメラとストロボの充電からだ。


2024.9.7(土)晴れ 楕円のレーザービーム

楕円

楕円の一つの焦点から周に向かって放ったレーザービームは、跳ね返ってもう一つの焦点に当たるのか? というのがここしばらくの命題だった。7月6日にやったように、ポイントになる交点の距離を求めて三平方の定理なんかで長さを特定し、角度が一致することを求める方法でやってはみたものの計算が難しくて頓挫していた。

それがさっきあっけなく解けた。解けたのは「当たらない」ということが作図で解ったからだ。今日の図にあるように角α=角βになるのは特殊な場合だけだ。一般には、赤緑青でできる直角三角形が相似でないことが一目瞭然だ。ずいぶん遠回りをしてしまった。困ったら基本に返るという金言を体験できたのは収穫だ。

そして2時間後。先ほどのフリーハンドの図はいくらなんでもいいかげんすぎた。思えば、関数じゃなくて図形の問題として考え直せば道が開けると思いついていたのだ。ひとまずきちんとした図を描いて再検討だ。

楕円

という次第で書き直したのがこの図。青線をまじめに引いた。黒線の円の接線とx軸の交点から楕円に接するように引く直線だ。この方法なら楕円の接線を正しく引けるはずだ。この図なら角α≠角βは自明ではない。黄色い直角三角形と青い直角三角形あたりから道が開けそうではないか。


2024.9.12(木)晴れ クロナガアリと糞

クロナガアリ

クロナガアリがモンクロシャチホコの糞を運んでいた。これは想像していた事態だ。6日にクロナガアリの巣口にモンクロシャチホコの糞がうず高く積まれているのを発見した。アリが運んで来て巣の中に運び込むことなく放置しているのだろうと予想したのだ。

その予想を確かめるべく、いったん糞を撤去して様子をみることにした。翌日には糞は10個以上も集められていた。やはりそうだったかと、アリが糞を運んでいる現場を押さえようと思った。そして今日それがかなった。

このアリはしっかり運んでいる。草の種なんかを運ぶのと変わりない足運びだ。アリにしてみれば本気で食物を巣に持ち帰るつもりなんだろう。

クロナガアリ

巣に到着して、アリは困っていた。巣口はすでに糞で塞がっている。もし塞がっていなくても運ぶ込むには少しだけサイズオーバーだ。アリの困惑は長くなかった。あっさり諦めてその場に糞を置き、糞の山の隙間から巣に入っていった。

たまっている糞にはずいぶんカビが生えている。もともと食用には適さない感じだが、もはや完全に異物だ。巣の中に入れば危険物ですらあるだろう。

モンクロシャチホコの糞は植物質で食べ物の感触はあるのかもしれない。これまでにも、ササガヤの種が巣口にうずたかく積もっているのを見たことがあった。あれは何らかの要因で巣口が狭くなって、種を運び入れることができなくなったのが原因だった。地上を探索するクロナガアリにとっては、食べ物を巣まで運んでくるのが優先事項なんだろう。運び込めなくてもひとまず任務完了といったところか。

糞にまじっていろいろ食べられないものがたまっている。土くれ、セイバンモロコシの穂の破片、モンクロシャチホコが食べた葉のかけら、などなど。これもアリが運んできたものに相違あるまい。若い働きアリで経験不足によるエラーなのだろうか。秋の収穫期を前に予行演習的な作業にも思える。


2024.9.16(月)くもり一時雨のち晴れ 楕円

さて、楕円の1つの焦点から周上に発射したレーザービームは反射して、もう一方の焦点に当たるのか? という命題に挑戦中だ。これがまた難航している。なんやかんやと作図するうちに妙なことに気づいた。焦点から楕円の接線に向けて垂直な線を引くと、円の周上で交わるのではないかという予想だ。

この命題を証明する方法は原理的に簡単だ。しかし、計算がややこしい。数学が得意な人にはなんてことないだろうけど、私には難しい。√とか分数が手に負えない。マイナス記号があるとミスのもとだ。

楕円

一般式では難しいので、この図のように、焦点Fから垂直にQに向けてレーザーを撃つことにした。これは7月6日に使ったもので、こいつならもう一方の焦点に当たることを証明済みだ。またもう一方の焦点から青線に降ろす垂線は円周上で交わることも発見済みだ。

今日は焦点Fを通る緑線で計算してみた。これなら線の式は簡単に求められる。結果、青線・緑線のy軸との交点がそれぞれ1とー1なので円周と直径の関係から、交点は円周上にあることがわかる。これで予想の正しさに一歩近づいた。あとはQ以外の所にレーザービームを当てた場合だ。y軸との交点が1とー1なんて単純にはいかず計算が超難しくなるけど、予想が正しいことを前提にがんばってみたい。これがレーザービームが両焦点を結ぶかという命題を解く手がかりにもなりそうな予感があるから。


2024.9.24(火)晴れ 角の2等分

楕円の1つの焦点から周上の接線に垂直な直線を引くと、外接円上で交わるのではないか? という命題も解けない。レーザービーム問題も解けない。理屈の上では両方とも単純明快なのだが、計算が難しい。

これらの問題を解くには交点と交点の距離を求める必要がある。点と点の位置は簡単にわりだせるし、その2点の距離を求める式も三平方の定理で書けるのだが、その計算が絶望的に難しい。フォンノイマンのような天才や、いまならAIで一瞬の計算でも私の手には負えない。完全に行き詰まってしまった。

かといって、楕円は心から離れない。もはやこれは恋。何をしていても楕円が脳裏に浮かぶ。深夜、布団の中でも図と式がまぶたの奥にちらついて眠れない。暗算では無理だから、考えてもしかたがない、眠ろうとしても眠れない。起き出して紙に書いても解けない。どうしても2点間の距離がでないのだ。

楕円

幾度か眠れぬ夜を過ごしていて、ふと角の2等分ならすぐに解けそうだとひらめいた。図の三角形ABCで、ABとACは問題のレーザービーム。レーザービームでできる角Aを2等分する補助線は緑線。緑線と青線が直交しておれば、角α=角βとなり解決だ。逆にAで青線と直交する緑線をひいたとき、緑線が角Aを2等分しておれば解決だ。

この方法なら計算ができそうだ。点Aを通る赤・青・緑、各直線の傾きだけで勝負ができる。2点間の距離をもとめなくてもかまわない。すばらしいひらめきだ。目の前がぱっと明るくなった。青線と直交する緑線を補助線にしてみるというアイデアが生きた。努力は無駄ではないのだ。

実際に図を描いて各直線の式を決めるところまでは簡単だった。ところが、緑線が角Aを2等分するかどうかを決めるところでまた行き詰まった。角の2等分をしていることの証明には2点間の距離を求めなければならない。この方法でもだめだ。またまたお先真っ暗だ。


2024.9.24(火)晴れのちくもり イチモンジセセリの産卵

イチモンジセセリ

庭の陸稲をみているとイチモンジセセリがやってきた。その動きから産卵したがっているようだ。陸稲は鉢植えと露地植えで10本ほどが育っている。8月31にはチャバネセセリの幼虫が1頭がいたことを確認している。

イチモンジセセリは鉢から飛び立って陸稲の茎の地面に近いところに止まった。極めて敏捷だ。産卵の仕草を見せすぐに飛び立った。老眼鏡越しに白い卵がそこに残されていることは視認できる。ただチョウが茎に止まっていたのはわずかな時間だった。見つけたものが卵かどうか判然としない。

飛び立ったチョウは鉢近くのフェンスに止まった。止まるとすぐに産卵の仕草を見せた。それは見間違いで、産卵じゃないと思った。母親なら、産卵する前に臭いか何かで食草かどうか判断するだろう。フェンスの針金と稲の茎は似て非なるものだ。それに陸稲とフェンスはかなり離れている。

イチモンジセセリ卵

しかし、フェンスのチョウがいたところには卵らしきものが残されている。ポケットの中からTGー5を撮りだして接写して見れば、やはり卵だ。

イチモンジセセリ卵

稲の茎に産み付けられたものも撮影した。形も色も同じ、やはり卵だ。イチモンジセセリのあの太いお腹にはたくさん卵があるだろう。母親は稲の周囲を機敏に飛び回り、卵を一個ずつ、ばらかして産んでいくようだ。

さて、この2つの卵の運命はずいぶん異なるものになってしまった。フェンスの卵から孵化してくる幼虫は、食べ物にありつくために遠い道のりを旅することになる。

茎の卵の子にしても、ちゃんと食べ物が確保できるかどうかは心もとない。もともと低肥料な上に猛暑の水不足で成長が悪いのだ。いま秋の深まりにつれて陸稲の種は熟しはじめ葉は色づいている。

私は10粒ほどの種籾が採れれば良い。陸稲を食べる予定はない。セセリチョウのよすがになるなら、もっとまじめに育てればよかった。


2024.9.27(金)雨 庭の花

アカマンマ

庭の一角でアカマンマ(イヌタデ)の花が盛りになっている。これは狙い通りの結果でたいへんうれしい。アカマンマは丈夫で大好きだ。アカマンマを好む虫はカメムシとか尺取り虫とかめぼしいものはいないが、花がかわいい。種はクロナガアリの餌になる。

アカマンマのような雑草を狙って育てるのは簡単ではない、と思う。やっぱり雑草は勝手に生えてくるのが基本だ。耕地して肥料を施し種を蒔くのは雑草育成では禁じ手だと思う。かといって完全放置でうまくいくはずもない。

去年の夏に、ここをアカマンマの楽園にしようと決意した。そのためには種を蒔かなければならない。この場所にアカマンマはあったが少数派に過ぎなかった。そこで種を大量に蒔く算段をした。

まず、庭に生えているアカマンマを植木鉢に移植して大事に育てた。丈夫なアカマンマのことだからさほど手をかけずに花をつけて種を結んだ。その鉢をこの場に置いた。

アカマンマ

冬が来て、ここにアカマンマの芽吹きを確認したのは、2月終わりのことだ。この写真のようにアメリカフウロとかカタバミにまじって夥しい数の双葉があった。その双葉がアカマンマだということに自信は持てなかったものの、状況からアカマンマだろうと思った。

アカマンマは育成植物であるから、やるべきことはある。肥料とか害虫防除とかは雑草相手にふさわしくない。トリアージだ。この場所は強力な雑草たちの陣地でもある。放置すればアカマンマを圧倒しかねない。背が高くなる雑草はマメに抜いた。ドクダミ、スギナ、ヤブガラシの根茎系はやっかいだ。根絶にはアカマンマも根を張る地面を掘り返す必要があるからだ。そんなことをすると本末転倒、贔屓の引き倒しになる。芽だけを摘むしかしない。好きなやつらだけにその作業は心が痛んだ。

アカマンマ

梅雨どきになっても私のアカマンマは成長が遅かった。写真のように小さな葉を数枚広げているだけだ。もしや密植の弊害か? などと玄人みたいなことまで考えた。相手は所詮雑草だ。追肥や間引きは無用だろう。雑草のトリアージだけを続けた。「えっ、私はここにいちゃいけないんですか」というドクダミたちの悲鳴を心で聞きながら。

アカマンマ

アカマンマ育成の成功に気を良くして第2弾を目論んでいる。アカマンマの鉢植えを準備して新たな茂みを作ろうとしているのだ。ここはドクダミの茂みで根茎は残してある。来年はドクダミとアカマンマを混在させ、初夏はドクダミ晩夏はアカマンマなどと甘いことを考えている。

オオアレチノギク

じつはアカマンマに先んじた雑草育成成功体験がある。それは写真のササガヤの茂みだ。ササガヤの種はクロナガアリが好む。庭のクロナガアリの巣のご近所雑草として最適だ。ササガヤは背の低い日影イネ科雑草で、微妙に育成が難しい。庭は光条件が悪くはないので、夏季にササガヤを圧倒しそうな雑草トリアージで群落を維持している。

そのササガヤの茂みに数本のオオアレチノギクが花をつけている。オオアレチノギクは休耕地や住宅開発地などの自然豊かな場所では背丈を超える草体を密生させるキングオブ雑草だ。私の庭では、あのオオアレチノギクとは思えない可憐な姿で毎年花をつけて種を飛ばしている。ここはササガヤの場所であるからトリアージ対象であるが、抜く気にはなれない。


2024.9.28(土)くもり レーザービームの解

楕円のレーザービームの命題が真だとわかった。焦点から周に向けて放ったレーザービームは反射してもう一つの焦点に当たる。もしやそうではなかろうか?という疑問でスタートした問題だったので、決着をみることができてうれしい。

レーザービームの解


道のりは平坦ではなかった。当初はデカルト座標を使って直線の交点をとって距離と角度で証明しようと試みた。作業自体は単純で、着想が無用だ。事実、焦点から真上に発射するレーザービームは別の焦点に当たることが簡単に証明できた。しかし、周のどこに向けてもそうなるのか、という問題は難しかった。点と点の距離の計算が難しすぎて解けないのだ。苦戦するうちに数式自体が誤りではないかという疑念がめばえる。実際にしょっちゅう間違っていた。

そうこうするうちに、焦点と接線を結ぶ垂線の足は円周上で交わるのではないか?という新たな命題も得た。そちらはまだ解けていない。難点はレーザービーム同様に線分の長さを求める計算だ。

手に負えないので、考えるまいと努めた。暗算ではだめなのがわかり切っているから考えても無駄なのだ。しかし、楕円はふとした隙に心に浮かんでくる。夜中に布団に入って考えまいとしても、いつしかあーでもないこーでもないとくよくよ迷うことになる。角の2等分で行けると確信した夜もあった。やはり線分の長さで挫折したが。このひと月あまりで眠れない夜は2日ほどだったろうか。もはやこれは恋と言えるだろう。

相変わらず無駄な暗算に落ち込んだある夜、三角形の相似問題にすれば解けるかもしれないとふと思いついた。円周上での直交問題で直角三角形をいろいろ試したのが発想の肥やしになったのか。確信はあったが、そのまま鉛筆をとって紙に向かうことはやめた。解けなければ夜が明ける、それを心配した。せっかくヒントを得たのだから安らかに眠ろう。

ところで、私が取り組んでいる楕円の問題なんて2000年以上前に古代ギリシャあたりで解決の押印済みだろう。日本なら江戸時代の寺子屋で子どもたちが解いたはずだ。解法が欲しければ、その辺の専門家に聞けば一発だ。それでも私は自らの手でやらずにはいられない。やはりこれは恋なのだ。

私は「恋とは何か」を30年前に整理済みだ。人類の恋は一般論にすれば単純明解なものである。恋は陳腐だ。そこになんの謎も解くべき課題もない。ところが陳腐なはずの恋が、個人にとっては新奇であり、複雑怪奇、課題山積、奇跡と運命のオンパレードだ。はるかな昔から未来永劫にわたって、すべての個人を恋は虜にする。とある男女に恋が始まるべくして始まり、歓喜と苦悩の一様な過程を経て育つ。

さてレーザービームの命題は真だと判明して一安心。しかし、円周上の直交問題が残されている。


2024.9.30(月)くもり 直交問題の行き詰まり

円周上の直交問題の方であるが、糸口はつかめずにいる。円を半分につぶした楕円に接線(青)を引いて、接点のx値をaとする。そして楕円の焦点Fから青線に垂線(緑)を降ろしたとき、交点が円周上にあるのではないか? というのが予想だ。ひとまず愚直な方法で、私の予想が正しいかどうか検算してみることにした。

交点行き詰まる

青線と緑線の連立方程式を解いて、その交点Aを求めると図のようになった。交点Aのx値とy値をそれぞれ2乗して足して全ての(x,y)で1になれば、予想が正しいことになる。

という簡単な手順ではあるけれど、交点Aの値がとんでもないことになっている。こんなものを2乗して足し算するなんて私には無理だ。かといって、この値を簡略にできるほど数学力は高くない。つまり行き詰まっている。

ただ、ここまで来れば値a,bを適当に入れてみて、1になるかどうかの検算はできる。手作業でそれをやるのは無理なので、電子計算機の助けを借りることにした。昔のMacintoshには数式を打ち込めばグラフにしてくれるという素敵なおまけがついていたが、いま使っているOS10.4.11にはない。関数電卓的なソフトなんて持ってない。しかたなく、「EXCEL : mac 2001」というOS9のエクセルを使うことにした。これを使うのも5年ぶりぐらいだ。

慣れぬ作業ゆえ、=A2+(2*(B2^2)*(3^(1/2)))とか、()のつけかたなんかがめんどくさかったが、検算はうまくいった。ついでに数式の展開で初歩的な計算間違いを2つやってたことも明らかになった。想定内のミスである。ありがとうエクセル。

どうやら予想が正しそうなので、先に進む勇気を得た。レーザービームのような閃きに期待するしかないのだが、そのとっかかりとして図のマゼンダ線が使えそうに思っている。円周で直交する線、といえば直径を底辺とする直角三角形だ。図でマゼンダ線が原点Oを通ることを証明すれば・・・・てな感じなのだが、これを計算で解くのは無理。


2024.10.1(火)くもりのち晴れ 秋の境川

ナカガワ

写真のナカガワで境川。ステムを変更して近く高くしてみた。こうするとゆっくり走るのが楽だ。以前のセッティングではゆっくり走るのにはいろいろ力が必要でイライラするところがあった。もともとナカガワはこの感じで走るために作った自転車だということを思い出した。オーダーして作ってもらったのは35年ほど前のことだ。

10月になって境川は秋もたけなわ。稲刈りの真っ盛り。秋の花もたくさん咲いている。セイタカアワダチソウ、アキノノゲシ、ヨメナ。いろんな花がある中で人気を集めているのがアレチウリだ。アブ、ハチ、チョウ、ハエが入れ替わり立ち替わりやってきて蜜を吸う。

チョウで多いのはセセリの仲間だ。葉の上で2頭がタンデムになっている。求愛行動だと思った。前のが翅を小刻みに振るわせている。ということはオスが前なんだろう。

雄花をなめるツマグロキンバエはすばらしくかっこいい虫だと思った。大物のスズメバチは、私の見ているアレチウリにはいつも数頭がいる。スズメバチがいるのはそれだけ豊かということだろう。この夏、庭でスズメバチを見かけたのは一度だったろうか。


2024.10.3(木)くもり 直交問題が解決

懸案の円周上の直交問題が解けた。今にして思えば遠回りをして苦労した。30日の図を、交点と交点の距離を求めるのは単純だけど、計算がお手上げだ。レーザービームでやったように、補助線をうまく引いて、図形問題にできないかとあれこれやってみた。しかし無理だった。

ひらめきが訪れたのは1日の夜のことだった。直交する点の値は計算で出せたのだから、青線と円の交点が、その値だったらOKじゃないか? というものだ。ひらめき、じゃなくて見落としに気づいただけか。

布団の中で考えていて、直線と円の交点なら二次方程式の解の公式で求められるはずと思った。それなら計算もぐっと簡単になるはずだ。

交点解ける

しかし、もしそれでダメだったら・・・という不安に駆られるのが、恋の恋たるゆえん。A(x、y)の値はけっこう手強い。分数だし√があるし、2乗もある。紙と鉛筆を取り出すまでに一日半かかった。√があるのは、解の公式だから当たり前、あたってくだけろと、あっているはずの到達点をめざして、分母の顔色をうかがいつついくぶんお手盛りで解いた。

A(x、y)のyのほうも解いた。


2024.10.4(金)雨のちくもり 庭のクロナガアリ

クロナガアリの巣

庭のクロナガアリの活動は本格化していない。2日には巣内の土くれが巣口の回りに運び出されていて、いよいよかと思った。しかし今朝には写真のように、巣の周辺にある異物が巣口に集められている。

集められる異物は、少し以前にはモンクロシャチホコの糞が多かった。いま目につくのは黄土色した鹿沼土の粒だ。赤っぽいものは数年前に高崎市でもらった籾。種籾にする予定もないので、アリかキジバトが食べるかもしれないと庭にまいたものだ。

糞や籾を運んでくるなら食料集めだと思える。しかし、鹿沼土を集める意図はちょっとわからない。

巣の中には、食べ物収穫組と巣環境整備組の働きアリがおり、整備班は本格活動にはまだ早いとし、収穫班は時機到来と活動をはじめているものの、ろくなものがなくて種っぽいものを運んで来たのかもしれない。

例年、10月には建設残土や生活生ゴミが巣口の回りにうず高く積まれ、地上活動が活発になる。それを心待ちにしている。


2024.10.7(月)晴れ 新発見の楽しみ

ヒメムカシヨモギ

今朝、写真の小さな花を見つけた。じつは、こいつは9月27日にはオオアレチノギクだと思っていた雑草だ。オオアレチノギクは花びらをつけないから、一番近いのはヒメムカシヨモギだろうか。もしかしたらヒメジョオンなど、同類の小型雑草かもしれない。

こういう新発見はうれしい。それが名のある虫なんかだったら喜びもひとしおだ。私のフィールドは庭と近所の自転車道ぐらいだから、新しい虫は滅多に見つからない。見慣れぬものでも類似種が多い小型のやつだとテンションは上がらない。それらは標本にして細部を照合してはじめて同定できるというもんだ。私の手に余る。

昨日は境川の道ばたでオオハキリバチが見つかった。見てすぐ正体判明!という有名どこではないが、そのサイズ、面構えから名のある虫というのは明らかだった。ハキリバチの一種ということだから、庭にも来るかもしれない。ジューンベリーにはハキリバチの作業痕がついている。

今朝は庭でマダラマルハヒロズコガらしき虫が見つかった。この類も決して珍しいものではない。雑木林、公園ではおなじみの虫だ。小学生のときはじめて見たときはそのけったいな風貌に驚いたが、いくらでも見つかるのでその感激は薄れてしまった。ただ、こいつが庭で見つかるとは思ってもみなかった。かつての感激がかすかによみがえってきた。

鬱勃たるパトスをもって楕円に取りくんでいるのに、基本の周長すらわからないのは恥ずかしい。「楕円が好きといってるのに、お前は楕円の周長だって求められないじゃないか。そんな体たらくで楕円の恋人を名乗るんじゃない。」という心の声はしばらく前から聞こえていた。

その度に、周長チャレンジを否定してきた。私には周長を探る資格なんてないのだ。相手が楕円だから、きっと微分とか幾何級数←数学を知らない老人が好んで使う用語、とかの高等テクニックが必要に違いない。そんなレベルの数学は使うのはおろか見たことさえないのだ。

「おまえは楕円の周長さえわからないのか。」昨夜またこの声が聞こえてきて眠れなくなった。

「だがまてよ、古代ギリシャだって江戸時代の寺子屋だって、楕円の周の長さぐらいは求めていたろう。まだ数学はそんなハイレベルじゃないときだ。アルキメデスあたりは天才的なひらめきによって楕円の周長の公式をあみ出したのではないか。ならそれっぽいことぐらいはできないか。」

こういう思いに取り憑かれてしまった。

円の周長とか面積の求め方なら、小学校のときに習った。円を扇形に分解して並べ替えて長方形にするやつだ。あんな感じで楕円もなんとかならないか。円は楕円の特殊な形態に過ぎないという名言もある。

周の値

迷妄の中に落ち込むこと1時間。この値を得た。いまやっている円を半分につぶした楕円の周長である。頭の中で例によって円と内接する楕円を描いて、円を扇形に分解して並べ替えた。そうすると、楕円はとぎれとぎれになるので、途切れた部分はきっと半分ぐらいで引き算して、いや並べ方次第でつながるかも、まいいか・・・あとは三平方の定理で斜辺の長さを求めればOK。みたいなことを暗算でやった。

しかし私の得たこの解のなんと美しいことか。もはや人間技ではない。神の領域だ。これが正解だったらいいのに・・・・。

楕円の周長なんて難問をたった1時間布団の中で考えただけで答えに辿り着けるわけがない。誤答に決まってる。でもこれでかまわない。恋の真骨頂は片思いにある。片思いの相手はすべからく女神だ。冷静に観察すれば元気でかわいい田舎娘にすぎない少女を、ビーナスにまで昇華させてしまうのが恋だ。


2024.10.8(火)雨 TG-5で深度合成

チヂミザサ

TG-5を愛用しているものの、使いこなしているとはいえない。TG-5の機能で深度合成があり、コケの撮影等で数回つかったことがある。できあがった写真はイマイチ感が漂うものだった。

今朝は小雨で、チヂミザサに水滴がついていた。これは深度合成に向いている被写体だと練習してみることにした。写真の左がノーマルの接写、右が深度合成。

この手の写真では草の茎にピントを合わせるのが基本。写真に芯を通すためだ。それではいい感じの水滴がピンぼけになるおそれがある。カメラマンならポジションを変えてポイントを探るべきだが、手持ちスナップが本領のTG-5で腰をすえて画角を探るシチュエーションはない。深度合成でごまかせないか。

これまでと違う方法で試したのは、マニュアルフォーカスを使ったことだ。左の写真中央にある水滴をフォーカスしている。結果を見れば、奥にある茎ぐらいまででギリギリ深度に入る感じだ。幅にして1cmほどだろうか。奥を合成することを頭において、マニュアルでピントをあわせれば、より狙いに沿った深度合成ができるだろう。

TG-5がフォーカスの背部を合成することをはじめて理解した。マニュアルに書いてあったような気はしてる。雨の中、無風とはいえ草を手持ちで接写してるのだからぶれも出るだろう。フォーカス部が甘くなっているのはしかたのないことか。

TGシリーズではあきらめかけていたTG-7が販売されている。購入希望はあるのだが、私に役立つ進歩はあるのだろうか。情報が入って来ずにぐずぐずしている。


2024.10.9(水)雨のちくもり 交点では解けず

楕円のレーザービームの問題は三角形の相似を使って首尾良く解くことに成功した。しかしxy座標で直線の交点を使って数式で解くやりかたが心に引っかかっている。それがもっとも簡単愚直な方法だからだ。

夜中なんかにふとアイデアが湧いてくるともういけない。いろいろ迷って、係数がなるべく単純な方法なら解けそうな気がした。2点間の距離を求めるのは無理なことが解っている。そこを回避するためのすばらしい補助線がひらめいた。下図のマゼンダ線である。

交点の図

Aを通り、青線に垂直な緑線。青線に平行でx軸上のCを通るマゼンダ線。AとBを結ぶレーザービーム(赤)の反射線。

脳内イメージで3つの線を引いて、これはいけると布団の中で確信した。こうすれば、交点Eと交点Dのyの値だけを求めればよい。CEの中点がDであれば、角α=角βとなるのだから、それぞれの交点から垂線の足をx軸に降ろして、EE’がDD’の2倍であればよいのだ。これなら前の方法よりも10倍ぐらい計算がやさしい。やはりxy座標の方法でもひらめきは必要なのか。

というわけで紙と鉛筆をいそいそとりだして、3つの線の式をさくさくと立てた。赤線のABの式がかなり怪しげでぞくっとしたが、これらの式で連立方程式を作って、交点D,Eそれぞれのyの値を求めた。

交点の図

こんなものの長さの比較なんてできるわけがない。このやり方以上に簡単な方法は思いつかない。こういう入り組んだ式をうまく丸め込めるようなテクニックがあるんだろうか。やはり私には手の届かない問題なのだろうか。


2024.10.24(木)晴れのちくもり 秋たけなわの境川

高積雲

群青で乗りだすと空には一面の高積雲。秋らしい天気だ。高積雲の中に穴あき雲がいくつも見える。その並びと形からして、旅客機が作ったもののようだ。

境川は秋もたけなわ。そろそろ晩秋の気配が漂っている。少し慌てているのがセイバンモロコシの収穫だ。とっくに種を播き終わっている株も多い。おちおちしてはいられない。草刈りとの競争も熾烈だ。今年は相模川方面は草刈りに負けて、一度しか収穫できなかった。境川にはまだ食べ頃の種が残っている。

ペダル

セイバンモロコシ目当てとはいえ、自転車の練習も大事だ。正しいペダリングのためのグッドアイテムとして写真のペダルが使えることがわかった。シマノのSPDというやつだ。

群青につけているのは、ロードにつける人がいないSPDの廉価版だ。こいつは強く回そうとすると、カタカタ鳴って気分が悪かった。やはり廉価版だとこんなもんなのか、クリートがすり減っているのか、締め付けが弱いのか、などと矯正を試みながら使っていた。

今日はふと、ペダリングの上手い下手から来るカタカタだと気づいた。まっすぐ踏んでまっすぐ引く限り、締め付けが弱くてもガタが出ない。クリートを外しやすいペダルの仕様として、足が歪んでいるとガタが出るみたいだ。となれば願ったりかなったり、むしろ大歓迎のカタカタだ。

ペダリング練習の難しさは失敗のわかりにくさにある。足の角度のズレを意識するのは困難だ。それをSPDペダルが教えてくれる。作ろうとしても作れるアイテムではない。

セイバンモロコシを収穫しているとアブラゼミが鳴いていた。晩秋のアブラゼミは記録の対象だ。今日は日が射して気温が上がった。アブラゼミのほかにウスバキトンボ、カネタタキ、エンマコオロギなどもまだがんばっている。

収穫を終えて帰宅する頃には厚い雲が全天を覆っていた。高積雲に穴あき雲と来れば天気の崩れの予兆である。ただ雲の下降は予想以上に早かった。さすが秋もたけなわである。


2024.10.25(金)くもり 交点で解けた

さて、楕円の課題であるが、9日の解法は考え方は良いはずなのに行き詰まっていた。しかしながら、さすが恋である。こりゃ無理かもと思いつつも、あきらめきれずくよくよと何日も考え続けていたのだった。もしかしたら、もっと簡単な方法があるかもしれないから。

八方塞がりになった今朝、初心にかえってみることにした。計算間違いはよくやらかすというか、一発で当たった試しがないので、念のためにaとbをそれぞれ1/2と√3/2とおいて、9日の式で検算してみた。すると、奇妙な値がでてきた。立てた式が誤っているか、計算を間違えているか、その両方かだ。

誤りだとわかるのはうれしい。最初からやり直せばいいのだ。そして基本になる直線の式に誤りが見つかった。単に方角を見失って誤った道を歩いていただけなのだ。かくて先ほどついに証明できた。訂正は以下である。

 正誤


数学では考える方向が正しければ、数式もすっきりするものだ。DD’もEE’も共にすっきりした。ぱっと見で2倍になりそうだ。つぎのような計算で簡単に証明することができた。やっぱりデカルト座標はひらめき無用。すばらしい。

 証明


2024.11.1(金)雨 大洲散歩

大洲市の平野からは金山出石寺にむかう素敵な道がある。素敵と言うのはもちろん自転車で走って楽しいという意味だ。もうずいぶん前、2008年12月27日に成り行きまかせでこの道を自転車で行った。今日は徒歩だ。

道路

道路は平野の久米川にそそぐ小さな流れに沿って続いている。杉林をうねうねと渓流沿いに登る道路を傘をさして歩く。

今日は大洲市立病院に用があってここに来た。用事は午後からで、2時間ほど余裕がある。歩いて行けばまたちがった楽しさがあるだろう。

夜明けから雨がしとしと降っている。11月というのに暖かい雨だ。静かだ。聞こえるのは鳥と虫の声。対岸の杉林で鳴くのは、アブラゼミかと最初は思った。遠いはずなのによく響いてくるから。ただどうにもピッチがアブラゼミじゃない。きっとアオマツムシだ。独唱なのにこの響きは雨のせいだろうか、地形のせいだろうか。

道路

成畑というらしい数戸の集落を離れると人家はなくなる。数キロ先の高山集落までは田畑と林のはずだ。道路にジョウビタキ♀が降りてきた。落ち着かない様子で飛んでは止まりを繰り返している。ガードレールに止まっているところをスマホで撮影をしようとしたが、近寄れなかった。近づく人間への警戒よりも、食べ物探しに忙しかったようだ。

道路

道路の脇には動物が活動した痕跡がある。写真はイノシシのぬた場だろうか。若者だった私が山を歩いていたときはぬた場なんて滅多に見つからなかった。それが今ではイノシシが何かを掘った跡があちこちにある。住宅付近でも珍しくはない。

道ばたにある畑はことごとく金網が張られている。害獣対策だ。この辺には猿鹿が入っていないのは幸いといえるが、ハクビシンとイノシシだけでも被害は大きいだろう。

水田

畑を耕作できる人が急速に減っている。自然の力は、日々の手入れができなくなった田畑、山林、住宅を容赦なく浸食する。わずか15年前に自転車で来たときは、もっと田畑が生きていた。いまは道沿いの畑は大半が使われていない。クズやらの雑草のはびこり様から、耕地は数年前に放棄されたのだと思う。

八幡浜には私が継いでみかん畑や山林にできる土地があるが、とうていそれをやれる体力はない。獣害に対抗する気力なんて湧くはずがない。

ゆっくり歩いているのに汗が出てきた。暖かい日とはいえ衰えたものだ。少し息もあがっている。1時間登って引き返す予定だったが、無理はしないほうがよさそうだ。水も持ってない。最後の最後の非常食としてバナナが1本あるきりだ。勇気をもって10分短縮で引き返そう。いっそうゆっくり歩いて。

水田

歩きながら考えた。この先にある高山の集落の人たちはどんな暮らしをしているのか、他人事ながら心配になったのだ。私が物心ついた頃、農家であるわが家はほぼ自給自足の暮らしだった。ときおりリヤカー行商の魚を買っていた。近所には雑貨屋があり豆腐やパンが買えた。金で買う物品は何でも上等品だと思っていたものだ。田畑ができず日々の食品も買えないとなると山を下りるしかない。全国で同じようなことが起きている。

日本の山里は祖先が人力で拓いたところばかりだ。スマートな仕事へのあこがれを持って都会に出た私ですら、先祖伝来の土地を離れた時間は忘れ物をしているような、持つべきものをもっていないような気がする。

そのとき、場違いなペイントの自動車が登ってきた。とくし丸だ。ここを登るからには高山や上須戒の人たちがお客さんだろう。とくし丸は採算度外視で買い物難民となった人々のくらしを支えると声高々に宣言している。あれ本気なんだと、勇ましい自動車を見送った。

雨があがって閉じた折りたたみ傘が壊れて開かなくなった。一度壊れたのを修理してだましだまし使っていたのだった。物の命ははかないものだ。雨はまた強くなってきた。


2024.11.5(火)晴れのちくもり 晩秋

エノキ

朝、窓から庭を眺めているとジョウビタキ♀がやってきた。庭は魅力的ではないとみえ、ジューンベリーの枝に2秒止まって飛び去った。写真は庭のエノキ。実生で育っているものだ。ここには2頭のアカボシゴマダラがいたが、今朝には常駐している葉にはいなかった。移動したのかと探しても見つからない。きっと越冬のために木を降りたのだろう。ヤブガラシのセスジスズメも見あたらない。地中で蛹になっているのだろう。

11月としては暖かく陽もある。ナカガワで境川に乗り出す。気団の動きから考えると、今日アブラゼミが鳴かなければ来夏までおあずけだ。ほんのちょっとだけウスバキトンボが飛ぶかもしれないという期待もある。

昼頃には雲が厚くなり、北風が冷たい。寒さにはからきしのウスバキトンボは無理だろう。探索はあきらめなければならない。カネタタキはまだ普通に鳴いている。エンマコオロギも数頭聞いた。

モンシロチョウはたくさんいて、繁殖行動も見せている。11月のモンシロチョウは記録の対象ではない。モンシロチョウのほかにモンキチョウとかセセリとか、各種が活動していた。いずれの翅もひどくやぶれている。また冬が来るのだ。

4時間ばかりアブラゼミが聞けそうな林を探って走ったけれど、その気配もなかった。やはり今年は終わりか。しかし、去年は11月末にフユシャク探しの林で出くわした。そういう僥倖だってなきにしもあらずだ。


2024.11.6(水)くもりときどき晴れ カマキリの幼虫

ハラビロカマキリ

庭のクワの葉に小さなイモムシがついていた。おそらくハバチだろう。そのイモムシを撮影していると、近くにカマキリの幼虫が見つかった。目の錯覚かと思ったが、確かにハラビロカマキリだ。梅雨の前にドクダミの花なんかにちょこんと止まっている姿をよく見る。晩秋にいる虫ではない。

こいつはなにかのまちがいでここにいる。何の間違いだろう。この9月、10月は熱帯のような気候が続いた。おそらくそのせいだろう。ソメイヨシノはいったん寒さを味わってから積算温度で開花するという。ハラビロカマキリもなにかそういうメカニズムで孵化してしまったのだ。

昼は昨日とおなじく境川。すこし陽もある。もうがんがん走りたいという気にもなれず、ゆく秋を楽しみたいサイクリングだ。

川の土手に腰掛けてセンダングサの花に来ているミツバチやらセセリやらを見ていると目の前をトンボが横切った。ウスバキトンボだと思ったが、すぐ自分を疑った。見たいものが幻覚として現れることはままある。しかし再発見したそのトンボはウスバキトンボに間違いなかった。2分も3分も風に乗るオレンジのトンボは他にいない。雲が消えて日が射したから体が温まったのだろう。

ふわっと上昇して、くるっと旋回して、また上昇。北風に逆らって私の前を飛んで20メートルばかり離れると、一気に引き返してまた北に向かう。こうして虫を捕まえるのだろう。川べりに虫は少なくない。

ただこのウスバキトンボに未来はない。冬は越せずに仲間も子も親も自分も死に絶える。それでもまた次の夏、自分たちのパッションを信じて南の国からまた新たな一団がやって来る。いつか日本の冬が暮らしやすくなる年が来るかもしれない。

ウスバキトンボに未来なんか関係ない。昨日を後悔し明日を心配するのは万物の霊長人類だけだ。生き物は生きているだけで幸いなのだ。庭のハラビロカマキリが生きるこの先の数日もきっと幸いなものにちがいない。


←2023年の天地無朋   2025年の天地無朋 →


カタバミ  テトラ  ナゾノクサ
たまたま見聞録→